留言板

尊敬的读者、作者、审稿人, 关于本刊的投稿、审稿、编辑和出版的任何问题, 您可以本页添加留言。我们将尽快给您答复。谢谢您的支持!

姓名
邮箱
手机号码
标题
留言内容
验证码

全长灌浆锚固系统锚固界面软化特性研究

刘秀军

刘秀军. 全长灌浆锚固系统锚固界面软化特性研究[J]. 岩土工程技术, 2025, 39(1): 14-24. doi: 10.20265/j.cnki.issn.1007-2993.2023-0783
引用本文: 刘秀军. 全长灌浆锚固系统锚固界面软化特性研究[J]. 岩土工程技术, 2025, 39(1): 14-24. doi: 10.20265/j.cnki.issn.1007-2993.2023-0783
Liu Xiujun. Softening characteristics of anchorage interface in the fully grouted anchorage system[J]. GEOTECHNICAL ENGINEERING TECHNIQUE, 2025, 39(1): 14-24. doi: 10.20265/j.cnki.issn.1007-2993.2023-0783
Citation: Liu Xiujun. Softening characteristics of anchorage interface in the fully grouted anchorage system[J]. GEOTECHNICAL ENGINEERING TECHNIQUE, 2025, 39(1): 14-24. doi: 10.20265/j.cnki.issn.1007-2993.2023-0783

全长灌浆锚固系统锚固界面软化特性研究

doi: 10.20265/j.cnki.issn.1007-2993.2023-0783
详细信息
    作者简介:

    刘秀军,男,1983年生,博士,正高级工程师,注册土木工程师(岩土),主要从事岩土工程检测等方面的研究工作。E-mail:liuxiujun01@163.com

  • 中图分类号: TU470+.3

Softening characteristics of anchorage interface in the fully grouted anchorage system

  • 摘要: 基于离散化思想,将弹簧单元法引入锚固系统力学分析中,建立了位移分布函数、轴力分布函数以及侧阻力分布函数之间的联系。考虑锚固界面的软化特性,假设极限侧阻力分别以线性和指数曲线两种形式衰减至残余摩阻力,模拟了锚固界面的软化过程,分析了界面软化特性对锚固系统拉拔力学行为的影响,并采用现场拉拔试验进行了验证。研究表明:考虑锚固界面软化特性可更加真实地反映锚固系统的受力变形特性,无论是线性软化还是指数曲线软化,在选取合适软化系数的情况下,两者的分析结果差异很小。

     

  • 图  1  五种线性荷载传递模型[8]

    图  2  试验现场

    图  3  试验锚索灌浆体–岩土体界面剪切滑移曲线

    图  4  自由杆离散化示意图

    图  5  受约束杆件离散化示意图

    图  6  i个弹簧元受力示意图

    图  7  线性软化模型示意图

    图  8  指数曲线软化模型示意图

    图  9  试验锚索弹性变形阶段轴力分布预测曲线与实测数据的对比

    图  10  试验锚索塑性变形阶段轴力分布预测曲线与实测数据的对比

    图  11  试验锚杆弹性变形阶段轴力分布预测曲线与实测数据的对比

    图  12  试验锚杆塑性变形阶段轴力分布预测曲线与实测数据的对比

    图  13  线性软化系数对极限抗拔力及破坏深度的影响

    图  14  P0=300 kN时,ϑ的变化对锚杆位移、轴力以及剪应力分布曲线的影响

    图  15  指数软化系数对极限抗拔力及破坏深度的影响

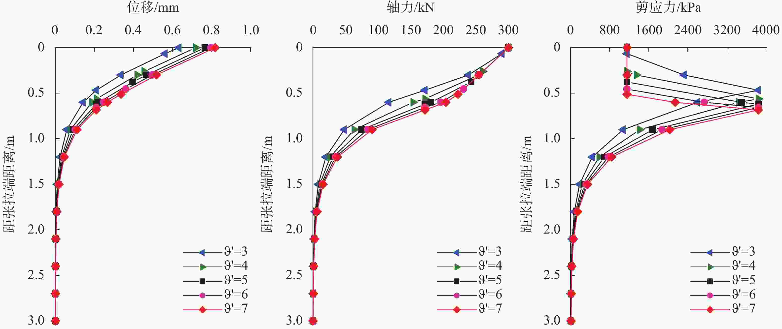
    图  16  P0=300 kN时,ϑ'的变化对锚杆位移、轴力以及剪应力分布曲线的影响

  • [1] 王卫东, 李永辉, 吴江斌. 超长灌注桩桩–土界面剪切模型及其有限元模拟[J]. 岩土力学,2012,33(12):3818-3824,3832. (WANG W D, LI Y H, WU J B. Pile-soil interface shear model of super long bored pile and its FEM simulation[J]. Rock and Soil Mechanics,2012,33(12):3818-3824,3832. (in Chinese)

    WANG W D, LI Y H, WU J B. Pile-soil interface shear model of super long bored pile and its FEM simulation[J]. Rock and Soil Mechanics, 2012, 33(12): 3818-3824,3832. (in Chinese)
    [2] 曹文贵, 王江营, 翟友成. 考虑残余强度影响的结构面与接触面剪切过程损伤模拟方法[J]. 土木工程学报,2012,45(4):127-133. (CAO W G, WANG J Y, ZHAI Y C. Study of simulation method for the shear deformation of rock structural planes and interfaces with consideration of residual strength[J]. China Civil Engineering Journal,2012,45(4):127-133. (in Chinese)

    CAO W G, WANG J Y, ZHAI Y C. Study of simulation method for the shear deformation of rock structural planes and interfaces with consideration of residual strength[J]. China Civil Engineering Journal, 2012, 45(4): 127-133. (in Chinese)
    [3] 黄明华. 岩土锚杆拉拔荷载传递分析与FRP智能锚杆监测验证[D]. 哈尔滨: 哈尔滨工业大学, 2014. (HUANG M H. Analysis on pullout load transfer mechanism of geotechnical anchor and its validating monitor with smart FRP anchor[D]. Harbin: Harbin Institute of Technology, 2014. (in Chinese)

    HUANG M H. Analysis on pullout load transfer mechanism of geotechnical anchor and its validating monitor with smart FRP anchor[D]. Harbin: Harbin Institute of Technology, 2014. (in Chinese)
    [4] CAI Y, ESAKI T, JIANG Y J. A rock bolt and rock mass interaction model[J]. International Journal of Rock Mechanics and Mining Sciences,2004,41(7):1055-1067. doi: 10.1016/j.ijrmms.2004.04.005
    [5] 尤春安, 战玉宝, 刘秋媛, 等. 预应力锚索锚固段的剪滞–脱黏模型[J]. 岩石力学与工程学报,2013,32(4):800-806. (YOU C A, ZHAN Y B, LIU Q Y, et al. Shear lag-debonding model for anchorage section of prestressed anchor cable[J]. Chinese Journal of Rock Mechanics and Engineering,2013,32(4):800-806. (in Chinese) doi: 10.3969/j.issn.1000-6915.2013.04.019

    YOU C A, ZHAN Y B, LIU Q Y, et al. Shear lag-debonding model for anchorage section of prestressed anchor cable[J]. Chinese Journal of Rock Mechanics and Engineering, 2013, 32(4): 800-806. (in Chinese) doi: 10.3969/j.issn.1000-6915.2013.04.019
    [6] BENMOKRANE B, CHENNOUF A, MITRI H S. Laboratory evaluation of cement-based grouts and grouted rock anchors[J]. International Journal of Rock Mechanics and Mining Sciences & Geomechanics Abstracts,1995,32(7):633-642.
    [7] REN F F, YANG Z J, CHEN J F, et al. An analytical analysis of the full-range behaviour of grouted rockbolts based on a tri-linear bond-slip model[J]. Construction and Building Materials,2010,24(3):361-370. doi: 10.1016/j.conbuildmat.2009.08.021
    [8] LIU X J, MA Z G. Mechanical behavior analysis of fully grouted bolt under axial load[J]. Scientific Reports,2023,13(1):421. doi: 10.1038/s41598-023-27673-6
    [9] MA S Q, ZHAO Z Y, NIE W, et al. An analytical model for fully grouted rockbolts with consideration of the pre- and post-yielding behavior[J]. Rock Mechanics and Rock Engineering,2017,50(11):3019-3028. doi: 10.1007/s00603-017-1272-5
    [10] MALVAR L J. Bond of reinforcement under controlled confinement[J]. Materials Journal,1992,89(6):593-601.
    [11] MOOSAVI M, KHOSRAVI A, JAFARI A. A laboratory study of bond failure mechanism in deformed rock bolts using a modified hoek cell[C]//Proceedings of the ISRM International Symposium - 2nd Asian Rock Mechanics Symposium. Beijing, China: ISRM, 2001.
    [12] 刘 波, 李东阳, 段艳芳, 等. 锚杆–砂浆界面黏结滑移关系的试验研究与破坏过程解析[J]. 岩石力学与工程学报,2011,30(S1):2790-2797. (LIU B, LI D Y, DUAN Y F, et al. Experimental study of bong-slip relationship between bolt and mortar and theoretical solution to failure process[J]. Chinese Journal of Rock Mechanics and Engineering,2011,30(S1):2790-2797. (in Chinese)

    LIU B, LI D Y, DUAN Y F, et al. Experimental study of bong-slip relationship between bolt and mortar and theoretical solution to failure process[J]. Chinese Journal of Rock Mechanics and Engineering, 2011, 30(S1): 2790-2797. (in Chinese)
  • 加载中
图(16)
计量
  • 文章访问数:  88
  • HTML全文浏览量:  30
  • PDF下载量:  20
  • 被引次数: 0
出版历程
  • 收稿日期:  2023-10-12
  • 修回日期:  2023-12-21
  • 录用日期:  2024-03-11
  • 刊出日期:  2025-02-21

目录

    /

    返回文章
    返回