留言板

尊敬的读者、作者、审稿人, 关于本刊的投稿、审稿、编辑和出版的任何问题, 您可以本页添加留言。我们将尽快给您答复。谢谢您的支持!

姓名
邮箱
手机号码
标题
留言内容
验证码

滨海软基管桩自平衡试桩承载力数值分析及转换系数计算

张君静 蒋睿

张君静, 蒋睿. 滨海软基管桩自平衡试桩承载力数值分析及转换系数计算[J]. 岩土工程技术, 2025, 39(4): 523-529. doi: 10.20265/j.cnki.issn.1007-2993.2024-0124
引用本文: 张君静, 蒋睿. 滨海软基管桩自平衡试桩承载力数值分析及转换系数计算[J]. 岩土工程技术, 2025, 39(4): 523-529. doi: 10.20265/j.cnki.issn.1007-2993.2024-0124
Zhang Junjing, Jiang Rui. Numerical analysis of bearing capacity and conversion coefficient calculation of O-cell test of pipe pile in marine soft clay foundation[J]. GEOTECHNICAL ENGINEERING TECHNIQUE, 2025, 39(4): 523-529. doi: 10.20265/j.cnki.issn.1007-2993.2024-0124
Citation: Zhang Junjing, Jiang Rui. Numerical analysis of bearing capacity and conversion coefficient calculation of O-cell test of pipe pile in marine soft clay foundation[J]. GEOTECHNICAL ENGINEERING TECHNIQUE, 2025, 39(4): 523-529. doi: 10.20265/j.cnki.issn.1007-2993.2024-0124

滨海软基管桩自平衡试桩承载力数值分析及转换系数计算

doi: 10.20265/j.cnki.issn.1007-2993.2024-0124
基金项目: 河南省优秀青年基金项目(232300421069)
详细信息
    作者简介:

    张君静,女,1973年生,硕士,高级工程师,主要从事公路工程方面的研究。E-mail:m13781196106@163.com

    通讯作者:

    蒋 睿,男,1999年生,博士研究生,主要从事桩基工程研究。E-mail: jiangruizzu@163.com

  • 中图分类号: TU473.1

Numerical analysis of bearing capacity and conversion coefficient calculation of O-cell test of pipe pile in marine soft clay foundation

  • 摘要: 与传统桩基检测方法相比,自平衡试桩法可满足大吨位、水上试桩等特殊情况的需求,在近海及海上桩基检测中具有独特的优势。为研究滨海软土地基管桩自平衡法试桩过程的荷载传递特性,分析桩参数对转换系数的影响规律,通过建立桩土数值模型,分别模拟自平衡试桩和传统试桩过程,结合有限元法和等位移法,对转换系数和极限承载力进行计算,并讨论桩参数对转换系数的影响规律。研究结果表明:通过将等位移法引入自平衡桩土模型,计算得到等效转换的极限承载力与堆载法计算结果误差在0.5%以内,可准确计算自平衡转换系数,且管桩桩长和桩径增大会显著提高桩基承载力,桩参数对自平衡转换系数和桩基极限承载力具有显著影响。

     

  • 图  1  自平衡试桩系统构造及现场检测

    图  2  桩顶堆载法和自平衡法加载方式示意图

    图  3  自平衡桩土模型及网格(单位:m)

    图  4  自平衡试桩Q-s曲线图

    图  5  传统堆载试桩Q-s曲线图

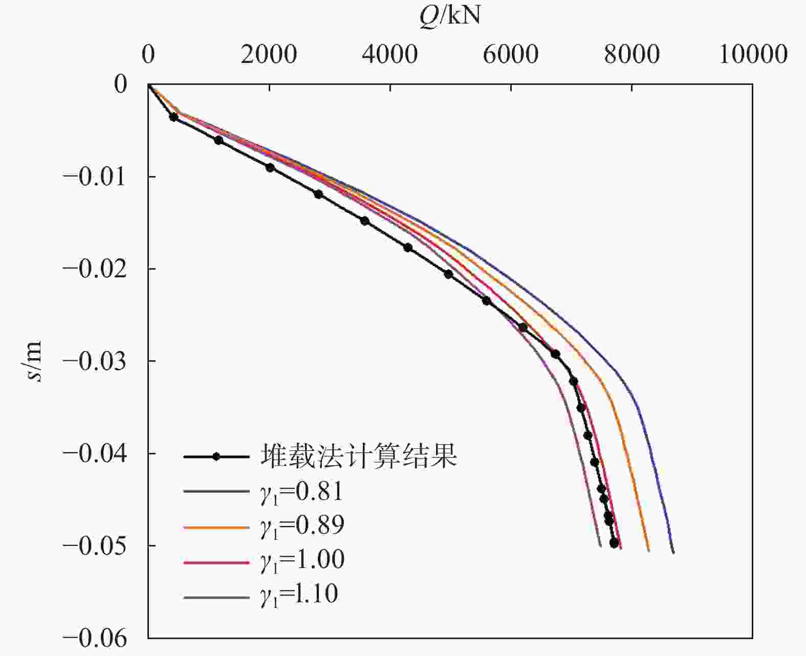
    图  6  不同转换系数下Q-s曲线对比

    图  7  不同桩径的Q-s曲线

    图  8  桩径对自平衡转换系数的影响

    图  9  不同桩长的Q-s曲线

    图  10  桩长对自平衡转换系数的影响

    表  1  桩土计算参数

    材料 杨氏模量
    /kPa
    泊松比 重度
    /(kN·m−3)
    黏聚力
    /kPa
    内摩擦角
    /(°)
    软黏土层 15000 0.47 18.5 80 0
    砂层 150000 0.35 20 30 25
    基岩 1200000 0.25 23.5 400 34
    35000000 0.15 25
    下载: 导出CSV

    表  2  桩径影响分析方案

    模型组 桩径
    D/mm
    壁厚
    t/mm
    桩长
    L/m
    荷载箱距桩底
    距离d/m
    极限加载
    位移/mm
    长径比
    1 500 130 20 5 25 40
    2 600 130 20 5 30 33.3
    3 1000 130 20 5 50 20
    下载: 导出CSV

    表  3  桩长影响分析方案

    模型组 桩径
    D/mm
    壁厚
    t/mm
    桩长
    L/m
    荷载箱距桩底
    距离d/m
    极限加载
    位移/mm
    长径比
    4 1000 130 12 3 50 12
    5 1000 130 16 4 50 16
    6 1000 130 20 5 50 20
    7 1000 130 24 6 50 24
    下载: 导出CSV
  • [1] 龚维明, 黄 挺, 戴国亮. 海上风电机高桩基础关键参数试验研究[J]. 岩土力学,2011,32(S2):115-121. (GONG W M, HUANG T, DAI G L. Experimental study of key parameters of high piled foundation for offshore wind turbine[J]. Rock and Soil Mechanics,2011,32(S2):115-121. (in Chinese)

    GONG W M, HUANG T, DAI G L. Experimental study of key parameters of high piled foundation for offshore wind turbine[J]. Rock and Soil Mechanics, 2011, 32(S2): 115-121. (in Chinese)
    [2] LI X J, DAI G L, ZHU M X, et al. Application of static loading tests to steel pipe piles with large diameters in Chinese offshore wind farms[J]. Ocean Engineering,2019,186:106041. doi: 10.1016/j.oceaneng.2019.05.023
    [3] 徐 江, 龚维明, 张 琦, 等. 大口径钢管斜桩竖向承载特性数值模拟与现场试验研究[J]. 岩土力学,2017,38(8):2434-2440,2447. (XU J, GONG W M, ZHANG Q, et al. Numerical simulation and field test study on vertical bearing behavior of large diameter steel of inclined piles[J]. Rock and Soil Mechanics,2017,38(8):2434-2440,2447. (in Chinese)

    XU J, GONG W M, ZHANG Q, et al. Numerical simulation and field test study on vertical bearing behavior of large diameter steel of inclined piles[J]. Rock and Soil Mechanics, 2017, 38(8): 2434-2440,2447. (in Chinese)
    [4] 贺志军, 雷皓程, 夏张琦, 等. 多层软土地基中单桩沉降与内力位移分析[J]. 岩土力学,2020,41(2):655-666. (HE Z J, LEI H C, XIA Z Q, et al. Analysis of settlement and internal force displacement of single pile in multilayer soft soil foundation[J]. Rock and Soil Mechanics,2020,41(2):655-666. (in Chinese)

    HE Z J, LEI H C, XIA Z Q, et al. Analysis of settlement and internal force displacement of single pile in multilayer soft soil foundation[J]. Rock and Soil Mechanics, 2020, 41(2): 655-666. (in Chinese)
    [5] LI L, LAI N, ZHAO X F, et al. A generalized elastoplastic load-transfer model for axially loaded piles in clay: incorporation of modulus degradation and skin friction softening[J]. Computers and Geotechnics,2023,161:105594. doi: 10.1016/j.compgeo.2023.105594
    [6] 胡利文, 娄学谦, 周 密, 等. 海上风电钢管桩自平衡法现场试验研究[J]. 海洋工程,2023,41(1):141-151. (HU L W, LOU X Q, ZHOU M, et al. Static load study on in-situ steel pipe pile for offshore wind farm using self-balancing method[J]. The Ocean Engineering,2023,41(1):141-151. (in Chinese)

    HU L W, LOU X Q, ZHOU M, et al. Static load study on in-situ steel pipe pile for offshore wind farm using self-balancing method[J]. The Ocean Engineering, 2023, 41(1): 141-151. (in Chinese)
    [7] BACH D, VAN GELDER P. Incorporating set-up into LRFD method for drilled shafts[J]. Georisk: Assessment and Management of Risk for Engineered Systems and Geohazards,2014,8(2):81-91. doi: 10.1080/17499518.2013.817156
    [8] 蒋益平, 杨 敏, 熊巨华. 自平衡试桩荷载-沉降曲线的解析算法[J]. 岩石力学与工程学报,2006,25(S1):3258-3264. (JIANG Y P, YANG M, XIONG J H. Analytical equation of loading-settlement curve under o-cell pile testing method[J]. Chinese Journal of Rock Mechanics and Engineering,2006,25(S1):3258-3264. (in Chinese) doi: 10.3321/j.issn:1000-6915.2006.z1.103

    JIANG Y P, YANG M, XIONG J H. Analytical equation of loading-settlement curve under o-cell pile testing method[J]. Chinese Journal of Rock Mechanics and Engineering, 2006, 25(S1): 3258-3264. (in Chinese) doi: 10.3321/j.issn:1000-6915.2006.z1.103
    [9] 聂如松, 冷伍明, 魏 巍. 自平衡试桩法一种等效转换方法[J]. 岩土工程学报,2011,33(S2):188-191. (NIE R S, LENG W M, WEI W. Equivalent conversion method for self-balanced tests[J]. Chinese Journal of Geotechnical Engineering,2011,33(S2):188-191. (in Chinese)

    NIE R S, LENG W M, WEI W. Equivalent conversion method for self-balanced tests[J]. Chinese Journal of Geotechnical Engineering, 2011, 33(S2): 188-191. (in Chinese)
    [10] 李小娟, 戴国亮, 龚维明, 等. 砂性土中自平衡试验转换系数取值研究[J]. 岩土力学,2016,37(S1):659-668. (LI X J, DAI G L, GONG W M, et al. Research on conversion factor of self-balanced loading test in sandy soil[J]. Rock and Soil Mechanics,2016,37(S1):659-668. (in Chinese)

    LI X J, DAI G L, GONG W M, et al. Research on conversion factor of self-balanced loading test in sandy soil[J]. Rock and Soil Mechanics, 2016, 37(S1): 659-668. (in Chinese)
    [11] 李小娟, 陈雪奖, 戴国亮, 等. 黏性土中钻孔灌注桩自平衡转换系数取值研究[J]. 岩土力学,2016,37(S1):226-232,262. (LI X J, CHEN X J, DAI G L, et al. Research on conversion coefficient of cast-in-situ pile in clay in self-balanced loading test[J]. Rock and Soil Mechanics,2016,37(S1):226-232,262. (in Chinese)

    LI X J, CHEN X J, DAI G L, et al. Research on conversion coefficient of cast-in-situ pile in clay in self-balanced loading test[J]. Rock and Soil Mechanics, 2016, 37(S1): 226-232,262. (in Chinese)
    [12] LIU Y L, LIU Z J, XU J, et al. Study on model test of the new O-cell load test method with two loading directions[J]. Structures,2023,53:1225-1238. doi: 10.1016/j.istruc.2023.04.094
    [13] SHARMA A, KHALAF K. Value engineering of bored pile foundations in sandy soil in the middle east using O-cell test results[J]. Innovative Infrastructure Solutions,2023,8(8):220. doi: 10.1007/s41062-023-01190-x
    [14] 中华人民共和国住房和城乡建设部. 建筑基桩自平衡静载试验技术规程: JGJ/T 403–2017[S]. 北京: 中国建筑工业出版社, 2017. (Ministry of Housing and Urban-Rural Development of the People’s Republic of China. Technical specification for static loading test of self-balanced method of building foundation piles: JGJ/T 403–2017[S]. Beijing: China Architecture & Building Press, 2017. (in Chinese)

    Ministry of Housing and Urban-Rural Development of the People’s Republic of China. Technical specification for static loading test of self-balanced method of building foundation piles: JGJ/T 403–2017[S]. Beijing: China Architecture & Building Press, 2017. (in Chinese)
    [15] 交通运输部. 基桩静载试验 自平衡法: JT/T 738–2009[S]. 北京: 人民交通出版社, 2009. (Ministry of Transport of the People’s Republic of China. Static loading test of foundation pile——Self-balanced method: JT/T 738–2009[S]. Beijing: China Communications Press, 2009. (in Chinese)

    Ministry of Transport of the People’s Republic of China. Static loading test of foundation pile——Self-balanced method: JT/T 738–2009[S]. Beijing: China Communications Press, 2009. (in Chinese)
    [16] COMODROMOS E M, PAPADOPOULOU M C, RANDOLPH M F. Improved relationships for the pile base response in clayey soils[J]. Journal of Geotechnical and Geoenvironmental Engineering,2021,147(10):04021095. doi: 10.1061/(ASCE)GT.1943-5606.0002606
    [17] 中华人民共和国住房和城乡建设部. 预应力混凝土管桩技术标准: JGJ/T 406–2017[S]. 北京: 中国建筑工业出版社, 2017. (Ministry of Housing and Urban-Rural Development of the People’s Republic of China. Technical standard for prestressed concrete pipe pile: JGJ/T 406–2017[S]. Beijing: China Architecture & Building Press, 2017. (in Chinese)

    Ministry of Housing and Urban-Rural Development of the People’s Republic of China. Technical standard for prestressed concrete pipe pile: JGJ/T 406–2017[S]. Beijing: China Architecture & Building Press, 2017. (in Chinese)
    [18] 国家市场监督管理总局, 国家标准化管理委员会. 先张法预应力混凝土管桩: GB/T 13476−2023[S]. 北京: 中国标准出版社, 2023. (State Administration for Market Regulation, Standardization Administration of the People’s Republic of China. Pretensioned spun concrete piles: GB/T 13476−2023[S]. Beijing: Standards Press of China, 2023. (in Chinese)

    State Administration for Market Regulation, Standardization Administration of the People’s Republic of China. Pretensioned spun concrete piles: GB/T 13476−2023[S]. Beijing: Standards Press of China, 2023. (in Chinese)
  • 加载中
图(10) / 表(3)
计量
  • 文章访问数:  70
  • HTML全文浏览量:  27
  • PDF下载量:  10
  • 被引次数: 0
出版历程
  • 收稿日期:  2024-03-20
  • 修回日期:  2024-09-05
  • 录用日期:  2024-10-29
  • 刊出日期:  2025-08-08

目录

    /

    返回文章
    返回