留言板

尊敬的读者、作者、审稿人, 关于本刊的投稿、审稿、编辑和出版的任何问题, 您可以本页添加留言。我们将尽快给您答复。谢谢您的支持!

姓名
邮箱
手机号码
标题
留言内容
验证码

高含水率底泥在吸水剂作用下的失水机理研究

刘勇 吴鸿昇 蔡辉敏 李斌 王祥 王玉玺

刘勇, 吴鸿昇, 蔡辉敏, 李斌, 王祥, 王玉玺. 高含水率底泥在吸水剂作用下的失水机理研究[J]. 岩土工程技术, 2025, 39(4): 605-610. doi: 10.20265/j.cnki.issn.1007-2993.2024-0263
引用本文: 刘勇, 吴鸿昇, 蔡辉敏, 李斌, 王祥, 王玉玺. 高含水率底泥在吸水剂作用下的失水机理研究[J]. 岩土工程技术, 2025, 39(4): 605-610. doi: 10.20265/j.cnki.issn.1007-2993.2024-0263
Liu Yong, Wu Hongsheng, Cai Huimin, Li Bin, Wang Xiang, Wang Yuxi. Dewatering of high water content subsoil under the action of water absorber[J]. GEOTECHNICAL ENGINEERING TECHNIQUE, 2025, 39(4): 605-610. doi: 10.20265/j.cnki.issn.1007-2993.2024-0263
Citation: Liu Yong, Wu Hongsheng, Cai Huimin, Li Bin, Wang Xiang, Wang Yuxi. Dewatering of high water content subsoil under the action of water absorber[J]. GEOTECHNICAL ENGINEERING TECHNIQUE, 2025, 39(4): 605-610. doi: 10.20265/j.cnki.issn.1007-2993.2024-0263

高含水率底泥在吸水剂作用下的失水机理研究

doi: 10.20265/j.cnki.issn.1007-2993.2024-0263
详细信息
    作者简介:

    刘 勇,男,1974年生,大学本科,高级工程师,主要从事电网建设等领域的研究工作。E-mail:13505172171@126.com

    通讯作者:

    吴鸿昇,男,1989年生,硕士,高级工程师,主要从事电网建设等领域的研究工作。E-mail:2582084649@qq.com

  • 中图分类号: TU441.3

Dewatering of high water content subsoil under the action of water absorber

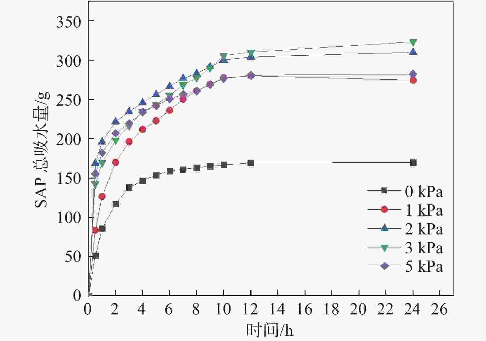
  • 摘要: 目前大多数高含水率底泥脱水处理采用添加絮凝剂方法来提高脱水性能,碱药剂处理后土样无法利用。为此,提出了一种通过高分子吸水树脂SAP处理高含水率底泥的物理方法,并且通过室内吸水试验和压汞试验,对高含水率底泥在吸水剂作用下的失水变形机理进行研究。试验研究表明:在3 kPa的上覆压强下用高分子吸水树脂SAP对底泥吸水所得的底泥含水率最低;吸水后底泥的孔隙体积和尺寸变小,孔隙结构变得更加复杂和不规则;在高分子吸水树脂SAP的作用下,底泥中的自由水通过内部渗透通道被吸收,颗粒在自重的作用下重新排列,颗粒间的渗透通道逐渐减小,底泥产生收缩变形。

     

  • 图  1  吸水试验记录

    图  2  各组试验被吸水前后底泥含水率

    图  3  SAP总吸水量随时间变化关系曲线

    图  4  泥浆被吸水前后累计孔隙体积与压力关系曲线图

    图  5  泥浆被吸水前后孔径分布曲线

    图  6  泥浆被吸水前后某孔径的孔隙含量

    图  7  吸水前后底泥孔隙体积分布

    表  1  吸水试验方案

    编号泥浆质量/gSAP质量/g压强/kPa
    1540.004.800
    21
    32
    43
    55
    下载: 导出CSV

    表  2  膨润土泥浆的物理特性参数

    初始含水率/%密度/(g·cm−3黏度/s液限/%塑限/%
    1500.01.0216.885.029.0
    下载: 导出CSV

    表  3  高分子吸水树脂SAP部分性质及物理参数

    外观 主要化学成分 目数 pH值 堆积密度/
    (g·cm−3
    0.9%盐水
    吸收倍率/
    (g·g−1
    纯白粉末 低交联型
    聚丙烯酸钠88%,
    水8%~10%,
    交联剂0.5%~1.0%
    200~400 6.2 0.84 52
    下载: 导出CSV

    表  4  泥浆与3 kPa条件下脱水后底泥主要孔隙参数对比

    比较项目泥浆3 kPa下脱水后底泥
    样品质量/g0.85870.9531
    33000 psia时汞总侵入量/(mL·g–10.26290.2153
    33000 psia时总孔隙面积(m2·g–115.843015.0450
    平均孔径大小(按d=4 V/A计算)/nm66.390057.2300
    体积密度/(g·mL–11.48521.6470
    表观骨骼密度/(g·mL–12.43682.5517
    孔隙率/%39.051635.4549
    门槛压力/psia0.80000.9400
    特征长度/nm224852.3700191989.6300
    曲折系数1.78901.8290
    弯曲度3.50993.6663
    渗透分形维数2.88802.8680
    骨分形维数2.44302.5030
    下载: 导出CSV
  • [1] 宋 闯, 李 冰, 邱艳茹. 河道淤泥处理及资源化应用[J]. 中国水利,2018(23):35-37. (SONG C, LI B, QIU Y R. River sludge treatment and resourcing application[J]. China Water Resources,2018(23):35-37. (in Chinese) doi: 10.3969/j.issn.1000-1123.2018.23.016

    SONG C, LI B, QIU Y R. River sludge treatment and resourcing application[J]. China Water Resources, 2018(23): 35-37. (in Chinese) doi: 10.3969/j.issn.1000-1123.2018.23.016
    [2] 麻 杰. 中小河道淤泥处理技术及资源化利用研究[J]. 水利建设与管理,2016,36(9):64-67,55. (MA J. Research on medium and small river silt disposal technology and resource utilization[J]. Water Conservancy Construction and Management,2016,36(9):64-67,55. (in Chinese)

    MA J. Research on medium and small river silt disposal technology and resource utilization[J]. Water Conservancy Construction and Management, 2016, 36(9): 64-67,55. (in Chinese)
    [3] 高 扬, 孙 科, 谭一军, 等. 多种疏浚淤泥脱水技术的典型应用及分析[J]. 江苏水利,2020(9):51-54. (GAO Y, SUN K, TAN Y J, et al. Typical application and analysis of various dredged silt dehydration technology[J]. Jiangsu Water Resources,2020(9):51-54. (in Chinese)

    GAO Y, SUN K, TAN Y J, et al. Typical application and analysis of various dredged silt dehydration technology[J]. Jiangsu Water Resources, 2020(9): 51-54. (in Chinese)
    [4] 梁 波, 陈海琴, 关 杰. 超声波预处理城市剩余污泥脱水性能研究进展[J]. 工业用水与废水,2017,48(4):1-6. (LIANG B, CHEN H Q, GUAN J. Research progress on dewatering performance of municipal excess sludge pretreated by ultrasonic[J]. Industrial Water & Wastewater,2017,48(4):1-6. (in Chinese) doi: 10.3969/j.issn.1009-2455.2017.04.001

    LIANG B, CHEN H Q, GUAN J. Research progress on dewatering performance of municipal excess sludge pretreated by ultrasonic[J]. Industrial Water & Wastewater, 2017, 48(4): 1-6. (in Chinese) doi: 10.3969/j.issn.1009-2455.2017.04.001
    [5] 谭林立, 许 航, 刘 珊, 等. 真空电渗给水污泥脱水机理的研究[J]. 环境科技,2017,30(1):1-4. (TAN L L, XU H, LIU S, et al. Mechanism research of water treatment residual sludge dewatering by vacuum electro-osmosis[J]. Environmental Science and Technology,2017,30(1):1-4. (in Chinese) doi: 10.3969/j.issn.1674-4829.2017.01.002

    TAN L L, XU H, LIU S, et al. Mechanism research of water treatment residual sludge dewatering by vacuum electro-osmosis[J]. Environmental Science and Technology, 2017, 30(1): 1-4. (in Chinese) doi: 10.3969/j.issn.1674-4829.2017.01.002
    [6] 纪文栋, 张宇亭, 颜容涛, 等. 高吸水材料改善高含水率淤泥流动性的试验研究[J]. 岩土力学,2015,36(S1):281-286. (JI W D, ZHANG Y T, YAN R T, et al. An experimental study of decreasing fluidity of silt with high moisture content by high water absorbent material[J]. Rock and Soil Mechanics,2015,36(S1):281-286. (in Chinese)

    JI W D, ZHANG Y T, YAN R T, et al. An experimental study of decreasing fluidity of silt with high moisture content by high water absorbent material[J]. Rock and Soil Mechanics, 2015, 36(S1): 281-286. (in Chinese)
    [7] 韦文珍, 张 玲, 李炳奇. 高分子吸水树脂的合成与应用[J]. 石河子大学学报(自然科学版),2000,4(4):338-343. (WEI W Z, ZHANG L, LI B Q. The synthetic and use of macromolecule resin of absorbing moisture[J]. Journal of Shihezi University (Natural Science),2000,4(4):338-343. (in Chinese)

    WEI W Z, ZHANG L, LI B Q. The synthetic and use of macromolecule resin of absorbing moisture[J]. Journal of Shihezi University (Natural Science), 2000, 4(4): 338-343. (in Chinese)
    [8] 石星丽, 张亚娟, 冯 潇. 浅谈高分子吸水树脂的合成与应用[J]. 石化技术,2017,24(10):85. (SHI X L, ZHANG Y J, FENG X. Synthesis and application of macromolecular water absorbent resin[J]. Petrochemical Industry Technology,2017,24(10):85. (in Chinese) doi: 10.3969/j.issn.1006-0235.2017.10.060

    SHI X L, ZHANG Y J, FENG X. Synthesis and application of macromolecular water absorbent resin[J]. Petrochemical Industry Technology, 2017, 24(10): 85. (in Chinese) doi: 10.3969/j.issn.1006-0235.2017.10.060
    [9] BIAN X, ZENG L L, DENG Y F, et al. The role of superabsorbent polymer on strength and microstructure development in cemented dredged clay with high water content[J]. Polymers,2018,10(10):1069. doi: 10.3390/polym10101069
    [10] BIAN X, DING G Q, WANG Z F, et al. Compression and strength behavior of cement–lime–polymer-solidified dredged material at high water content[J]. Marine Georesources & Geotechnology,2017,35(6):840-846.
    [11] BIAN X, CAO Y P, WANG Z F, et al. Effect of super-absorbent polymer on the undrained shear behavior of cemented dredged clay with high water content[J]. Journal of Materials in Civil Engineering,2017,29(7):04017023. doi: 10.1061/(ASCE)MT.1943-5533.0001849
    [12] BIAN X, WANG Z F, DING G Q, et al. Compressibility of cemented dredged clay at high water content with super-absorbent polymer[J]. Engineering Geology,2016,208:198-205. doi: 10.1016/j.enggeo.2016.04.036
  • 加载中
图(7) / 表(4)
计量
  • 文章访问数:  63
  • HTML全文浏览量:  27
  • PDF下载量:  3
  • 被引次数: 0
出版历程
  • 收稿日期:  2024-06-14
  • 修回日期:  2024-09-23
  • 录用日期:  2024-10-29
  • 刊出日期:  2025-08-08

目录

    /

    返回文章
    返回