留言板

尊敬的读者、作者、审稿人, 关于本刊的投稿、审稿、编辑和出版的任何问题, 您可以本页添加留言。我们将尽快给您答复。谢谢您的支持!

姓名
邮箱
手机号码
标题
留言内容
验证码

裂隙面滑移与剪胀对岩石损伤破坏影响的研究

廖志毅 戚承志

廖志毅, 戚承志. 裂隙面滑移与剪胀对岩石损伤破坏影响的研究[J]. 岩土工程技术, 2025, 39(4): 487-496. doi: 10.20265/j.cnki.issn.1007-2993.2024-0414
引用本文: 廖志毅, 戚承志. 裂隙面滑移与剪胀对岩石损伤破坏影响的研究[J]. 岩土工程技术, 2025, 39(4): 487-496. doi: 10.20265/j.cnki.issn.1007-2993.2024-0414
Liao Zhiyi, Qi Chengzhi. Effect of crack surface slip and shear dilatation on damage and failure of rocks[J]. GEOTECHNICAL ENGINEERING TECHNIQUE, 2025, 39(4): 487-496. doi: 10.20265/j.cnki.issn.1007-2993.2024-0414
Citation: Liao Zhiyi, Qi Chengzhi. Effect of crack surface slip and shear dilatation on damage and failure of rocks[J]. GEOTECHNICAL ENGINEERING TECHNIQUE, 2025, 39(4): 487-496. doi: 10.20265/j.cnki.issn.1007-2993.2024-0414

裂隙面滑移与剪胀对岩石损伤破坏影响的研究

doi: 10.20265/j.cnki.issn.1007-2993.2024-0414
基金项目: 国家自然科学基金重点项目(52438007);国家自然科学基金面上项目(12172036);北京建筑大学头雁项目(X24029)
详细信息
    作者简介:

    廖志毅,男,1998年生,在读硕士研究生,主要从事岩石损伤破坏研究。E-mail:2108590022143@stu.bucea.edu.cn

  • 中图分类号: TU452

Effect of crack surface slip and shear dilatation on damage and failure of rocks

  • 摘要: 针对目前断续裂隙岩体裂隙面滑移与剪胀对岩石损伤破坏影响的研究缺乏,采用断裂与损伤力学理论在两方面改进了岩体宏观损伤模型:考虑了单轴压缩下产生滑移时裂隙面不规则的粗糙突起引起摩擦能量的损耗;基于Bardon剪胀模型,考虑了闭合滑动裂隙将会在法向产生一定的剪胀位移,从而造成应变能的塑性损耗。再利用岩石微元Mohr-Coulomb强度准则,且假定微元强度服从Weibull分布,构建了岩体细观损伤模型。最后根据Lemaitre的应变等效假设,构建了考虑裂隙滑移与剪胀的岩体宏细观耦合损伤模型。与试验数据的对比表明,该模型能够较好地刻画岩体单轴压缩力学行为。最后分析了岩石裂隙的倾角、长度、内摩擦角以及剪胀角等参数对宏观损伤的影响,阐明了考虑裂隙面的滑移与剪胀对研究岩体单轴压缩力学特性的必要性。该研究可为裂隙岩体在单轴压缩下裂隙面的物理力学行为研究提供参考。

     

  • 图  1  断续裂隙岩体模型

    图  2  翼裂纹扩展模型示意图

    图  3  断续裂隙岩体模型

    图  4  试验试件与节理裂隙几何参数

    图  5  应力−应变关系图

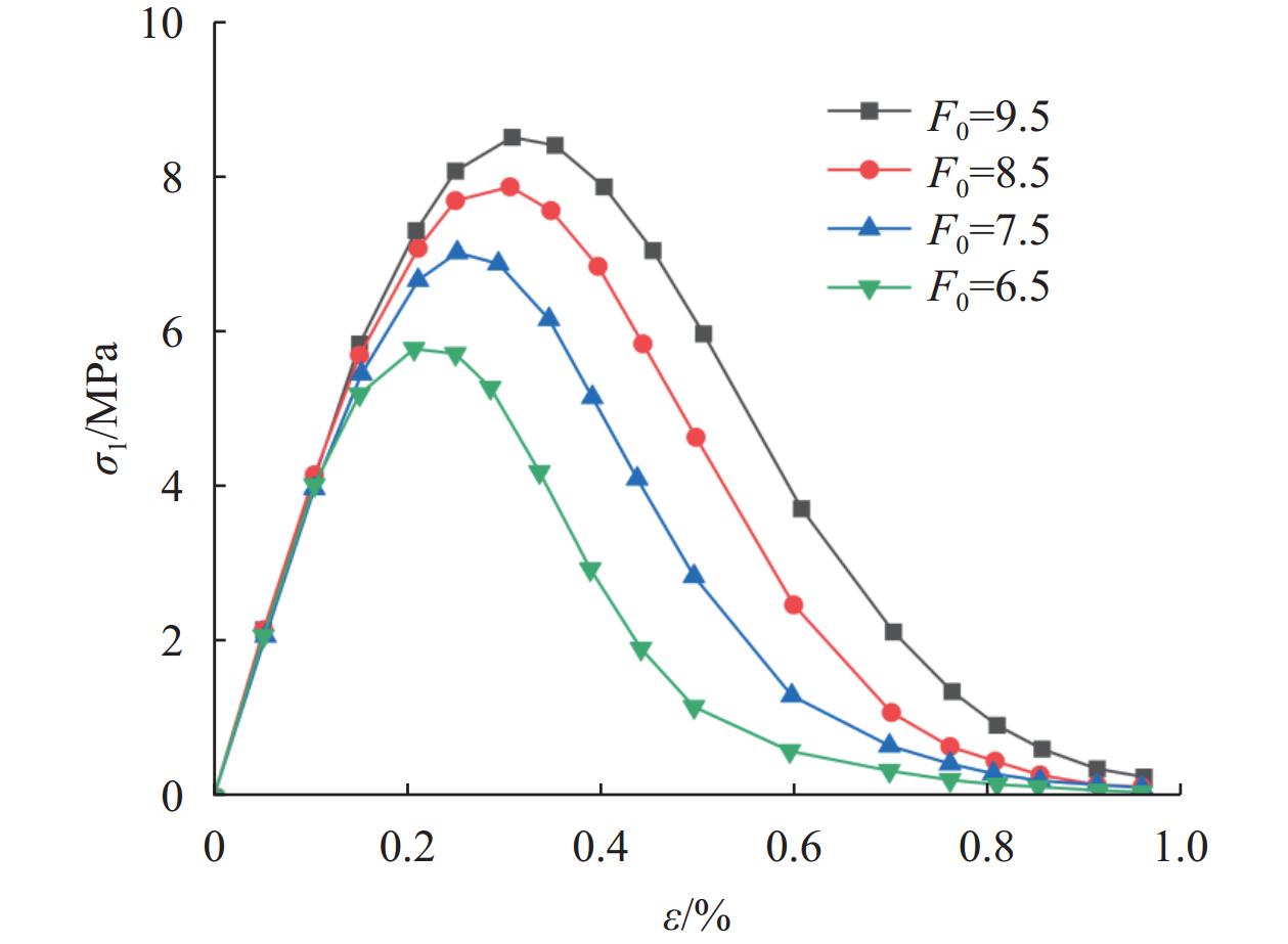
    图  6  F0对本构关系的影响

    图  7  m对本构关系的影响

    图  8  裂纹倾角与宏观损伤关系图

    图  9  裂纹倾角与宏观损伤关系图

    图  10  剪胀角与宏观损伤关系图

    图  11  内摩擦角与宏观损伤关系图

    图  12  裂隙长度对宏观损伤的影响

    表  1  不同的节理相互影响系数值

    d/2ab/2a
    $\infty $5.002.501.671.25
    $\infty $1.0001.0171.0751.2081.565
    5.001.0161.0201.0751.2081.565
    1.001.2571.2571.2581.2921.580
    0.252.0942.0942.0942.0942.107
    下载: 导出CSV
  • [1] 张 科, 潘 哲, 刘享华. 含折线型裂隙砂岩试件翼型裂纹起裂与扩展机制研究[J]. 水文地质工程地质,2022,49(3):103-111. (ZHANG K, PAN Z, LIU X H. Investigation of the wing crack initiation and propagation mechanism of the sandstone specimen containing a folded fissure[J]. Hydrogeology & Engineering Geology,2022,49(3):103-111. (in Chinese)

    ZHANG K, PAN Z, LIU X H. Investigation of the wing crack initiation and propagation mechanism of the sandstone specimen containing a folded fissure[J]. Hydrogeology & Engineering Geology, 2022, 49(3): 103-111. (in Chinese)
    [2] LIU H Y, ZHANG L M. A damage constitutive model for rock mass with nonpersistently closed joints under uniaxial compression[J]. Arabian Journal for Science and Engineering,2015,40(11):3107-3117. doi: 10.1007/s13369-015-1777-8
    [3] FAN L F, ZHOU X F, WU Z J, et al. Investigation of stress wave induced cracking behavior of underground rock mass by the numerical manifold method[J]. Tunnelling and Underground Space Technology,2019,92:103032. doi: 10.1016/j.tust.2019.103032
    [4] GAO W, DAI S, XIAO T, et al. Failure process of rock slopes with cracks based on the fracture mechanics method[J]. Engineering Geology,2017,231:190-199. doi: 10.1016/j.enggeo.2017.10.020
    [5] 陈 新, 廖志红, 李德建. 节理倾角及连通率对岩体强度、变形影响的单轴压缩试验研究[J]. 岩石力学与工程学报,2011,30(4):781-789. (CHEN X, LIAO Z H, LI D J. Experimental study of effects of joint inclination angle and connectivity rate on strength and deformation properties of rock masses under uniaxial compression[J]. Chinese Journal of Rock Mechanics and Engineering,2011,30(4):781-789. (in Chinese)

    CHEN X, LIAO Z H, LI D J. Experimental study of effects of joint inclination angle and connectivity rate on strength and deformation properties of rock masses under uniaxial compression[J]. Chinese Journal of Rock Mechanics and Engineering, 2011, 30(4): 781-789. (in Chinese)
    [6] 陈文玲, 李 宁. 含非贯通裂隙岩体介质的损伤模型[J]. 岩土工程学报,2000,22(4):430-434. (CHEN W L, LI N. Damage model of the rock mass medium with intermittent cracks[J]. Chinese Journal of Geotechnical Engineering,2000,22(4):430-434. (in Chinese) doi: 10.3321/j.issn:1000-4548.2000.04.009

    CHEN W L, LI N. Damage model of the rock mass medium with intermittent cracks[J]. Chinese Journal of Geotechnical Engineering, 2000, 22(4): 430-434. (in Chinese) doi: 10.3321/j.issn:1000-4548.2000.04.009
    [7] 刘红岩, 张光雄, 邹宗山, 等. 考虑裂隙变形参数的岩体单轴压缩损伤模型[J]. 水文地质工程地质,2023,50(3):85-92. (LIU H Y, ZHANG G X, ZOU Z S, et al. A uniaxial compression damage model for rockmass considering the crack deformation parameter[J]. Hydrogeology & Engineering Geology,2023,50(3):85-92. (in Chinese)

    LIU H Y, ZHANG G X, ZOU Z S, et al. A uniaxial compression damage model for rockmass considering the crack deformation parameter[J]. Hydrogeology & Engineering Geology, 2023, 50(3): 85-92. (in Chinese)
    [8] NEMAT-NASSER S, OBATA M. A microcrack model of dilatancy in brittle materials[J]. Journal of Applied Mechanics,1988,55(1):24-35. doi: 10.1115/1.3173647
    [9] 周群力. 岩石压剪断裂判据及其应用[J]. 岩土工程学报,1987,9(3):33-37. (ZHOU Q L. Compress shear fracture criterion of rock and it's application[J]. Chinese Journal of Geotechnical Engineering,1987,9(3):33-37. (in Chinese) doi: 10.3321/j.issn:1000-4548.1987.03.004

    ZHOU Q L. Compress shear fracture criterion of rock and it's application[J]. Chinese Journal of Geotechnical Engineering, 1987, 9(3): 33-37. (in Chinese) doi: 10.3321/j.issn:1000-4548.1987.03.004
    [10] BARTON N, BANDIS S, BAKHTAR K. Strength, deformation and conductivity coupling of rock joints[J]. International Journal of Rock Mechanics and Mining Sciences & Geomechanics Abstracts,1985,22(3):121-140.
    [11] GRADY D E, KIPP M E. Continuum modelling of explosive fracture in oil shale[J]. International Journal of Rock Mechanics and Mining Sciences & Geomechanics Abstracts,1980,17(3):147-157.
    [12] ASHBY M F, HALLAM S D. The failure of brittle solids containing small cracks under compressive stress states[J]. Acta Metallurgica,1986,34(3):497-510. doi: 10.1016/0001-6160(86)90086-6
    [13] BARTON N, CHOUBEY V. The shear strength of rock joints in theory and practice[J]. Rock Mechanics,1977,10(1):1-54.
    [14] 吕建国, 王志乔, 刘红岩. 岩石断裂与损伤[M]. 北京: 地质出版社, 2013: 12-54. (LV J G, WANG Z Y, LIU H Y. Fracture and damage of rock[M]. Beijing: Geology Press, 2013: 12-54. (in Chinese)

    LV J G, WANG Z Y, LIU H Y. Fracture and damage of rock[M]. Beijing: Geology Press, 2013: 12-54. (in Chinese)
    [15] HUANG C Y, SUBHASH G, VITTON S J. A dynamic damage growth model for uniaxial compressive response of rock aggregates[J]. Mechanics of Materials,2002,34(5):267-277. doi: 10.1016/S0167-6636(02)00112-6
    [16] PALIWAL B, RAMESH K T. An interacting micro-crack damage model for failure of brittle materials under compression[J]. Journal of the Mechanics and Physics of Solids,2008,56(3):896-923. doi: 10.1016/j.jmps.2007.06.012
    [17] LEE S, RAVICHANDRAN G. Crack initiation in brittle solids under multiaxial compression[J]. Engineering Fracture Mechanics,2003,70(13):1645-1658. doi: 10.1016/S0013-7944(02)00203-5
    [18] 宁建国, 任会兰, 方敏杰. 基于椭圆形微裂纹演化与汇合的准脆性材料本构模型[J]. 科学通报, 2012, 57(21): 1978-1986. (NING J G, REN H L, FANG M J. A constitutive model based on the evolution and coalescence of elliptical micro-cracks for quasi-brittle materials[J]. Chinese Science Bulletin, 2012, 57(28): 3773-3781. (in Chinese)

    NING J G, REN H L, FANG M J. A constitutive model based on the evolution and coalescence of elliptical micro-cracks for quasi-brittle materials[J]. Chinese Science Bulletin, 2012, 57(28): 3773-3781.
    [19] 袁小清, 刘红岩, 刘京平. 基于宏细观损伤耦合的非贯通裂隙岩体本构模型[J]. 岩土力学,2015,36(10):2804-2814. (YUAN X Q, LIU H Y, LIU J P. Constitutive model of rock mass with non-persistent joints based on coupling macroscopic and mesoscopic damages[J]. Rock and Soil Mechanics,2015,36(10):2804-2814. (in Chinese)

    YUAN X Q, LIU H Y, LIU J P. Constitutive model of rock mass with non-persistent joints based on coupling macroscopic and mesoscopic damages[J]. Rock and Soil Mechanics, 2015, 36(10): 2804-2814. (in Chinese)
    [20] 李建林, 哈秋舲. 节理岩体拉剪断裂与强度研究[J]. 岩石力学与工程学报,1998,17(3):259-266. (LI J L, HA Q L. A study of tensile-shear crack and strength related to jointed rock mass[J]. Chinese Journal of Rock Mechanics and Engineering,1998,17(3):259-266. (in Chinese)

    LI J L, HA Q L. A study of tensile-shear crack and strength related to jointed rock mass[J]. Chinese Journal of Rock Mechanics and Engineering, 1998, 17(3): 259-266. (in Chinese)
    [21] LI N, CHEN W, ZHANG P, et al. The mechanical properties and a fatigue-damage model for jointed rock masses subjected to dynamic cyclical loading[J]. International Journal of Rock Mechanics and Mining Sciences,2001,38(7):1071-1079. doi: 10.1016/S1365-1609(01)00058-2
    [22] LEMAITRE J. How to use damage mechanics[J]. Nuclear Engineering and Design,1984,80(2):233-245. doi: 10.1016/0029-5493(84)90169-9
    [23] 曹文贵, 张 升. 基于Mohr-Coulomb准则的岩石损伤统计分析方法研究[J]. 湖南大学学报(自然科学版),2005,32(1):43-47. (CAO W G, ZAHNG S. Study on the statistical analysis of rock damage based on Mohr-coulomb criterion[J]. Journal of Hunan University (Natural Sciences),2005,32(1):43-47. (in Chinese)

    CAO W G, ZAHNG S. Study on the statistical analysis of rock damage based on Mohr-coulomb criterion[J]. Journal of Hunan University (Natural Sciences), 2005, 32(1): 43-47. (in Chinese)
    [24] 曹文贵, 方祖烈, 唐学军. 岩石损伤软化统计本构模型之研究[J]. 岩石力学与工程学报,1998,17(6):628-633. (CAO W G, FANG Z L, TANG X J. A study of statistical constitutive model for soft and damage rocks[J]. Chinese Journal of Rock Mechanics and Engineering,1998,17(6):628-633. (in Chinese) doi: 10.3321/j.issn:1000-6915.1998.06.004

    CAO W G, FANG Z L, TANG X J. A study of statistical constitutive model for soft and damage rocks[J]. Chinese Journal of Rock Mechanics and Engineering, 1998, 17(6): 628-633. (in Chinese) doi: 10.3321/j.issn:1000-6915.1998.06.004
    [25] 张慧梅, 谢祥妙, 彭 川, 等. 三向应力状态下冻融岩石损伤本构模型[J]. 岩土工程学报,2017,39(8):1444-1452. (ZHANG H M, XIE X M, PENG C, et al. Constitutive model for damage of freeze-thaw rock under three-dimensional stress[J]. Chinese Journal of Geotechnical Engineering,2017,39(8):1444-1452. (in Chinese) doi: 10.11779/CJGE201708011

    ZHANG H M, XIE X M, PENG C, et al. Constitutive model for damage of freeze-thaw rock under three-dimensional stress[J]. Chinese Journal of Geotechnical Engineering, 2017, 39(8): 1444-1452. (in Chinese) doi: 10.11779/CJGE201708011
    [26] 张力民, 吕淑然, 刘红岩. 综合考虑宏细观缺陷的岩体动态损伤本构模型[J]. 爆炸与冲击,2015,35(3):428-436. (ZAHNG L M, LÜ S R, LIU H Y. A dynamic damage constitutive model of rock mass by comprehensively considering macroscopic and mesoscopic flaws[J]. Explosion and Shock Waves,2015,35(3):428-436. (in Chinese) doi: 10.11883/1001-1455-(2015)03-0428-09

    ZAHNG L M, LÜ S R, LIU H Y. A dynamic damage constitutive model of rock mass by comprehensively considering macroscopic and mesoscopic flaws[J]. Explosion and Shock Waves, 2015, 35(3): 428-436. (in Chinese) doi: 10.11883/1001-1455-(2015)03-0428-09
    [27] 杨圣奇, 徐卫亚, 韦立德, 等. 单轴压缩下岩石损伤统计本构模型与试验研究[J]. 河海大学学报(自然科学版),2004,32(2):200-203. (YANG S Q, XU W Y, WEI L D, et al. Statistical constitutive model for rock damage under uniaxial compression and its experimental study[J]. Journal of Hohai University (Natural Sciences),2004,32(2):200-203. (in Chinese)

    YANG S Q, XU W Y, WEI L D, et al. Statistical constitutive model for rock damage under uniaxial compression and its experimental study[J]. Journal of Hohai University (Natural Sciences), 2004, 32(2): 200-203. (in Chinese)
    [28] 班力壬, 候宇航, 杜伟升, 等. 考虑实际接触节理微凸体对剪切强度不同贡献比例的峰值剪胀角模型[J]. 煤炭学报,2023,48(10):3688-3699. (BAN L R, HOU Y H, DU W S, et al. A new peak dilation angle model for rock joints considering different contribution proportions of actual contact joint asperities to shear strength[J]. Journal of China Coal Society,2023,48(10):3688-3699. (in Chinese)

    BAN L R, HOU Y H, DU W S, et al. A new peak dilation angle model for rock joints considering different contribution proportions of actual contact joint asperities to shear strength[J]. Journal of China Coal Society, 2023, 48(10): 3688-3699. (in Chinese)
    [29] 靳天伟. 规则锯齿节理面剪切特性研究[D]. 北京: 北京建筑大学, 2021. (JIN T W, Study on shear characteristics of regular dentate joints[D]. Beijing: Beijing University of Civil Engineering and Architecture, 2021. (in Chinese)

    JIN T W, Study on shear characteristics of regular dentate joints[D]. Beijing: Beijing University of Civil Engineering and Architecture, 2021. (in Chinese)
    [30] HUANG M, HONG C J, MA C R, et al. A new representative sampling method for series size rock joint surfaces[J]. Scientific Reports,2020,10(1):9129. doi: 10.1038/s41598-020-66047-0
    [31] HU G J, WANG B, GUO W B, et al. Study on the size effect of rock elastic modulus considering the influence of joint roughness[J]. Frontiers in Materials,2024,11:1367006. doi: 10.3389/fmats.2024.1367006
    [32] LI Y C, YANG H W, SUN S Y. Unveiling the mystery of scale dependence of surface roughness of natural rock joints[J]. Scientific Reports,2022,12(1):1013. doi: 10.1038/s41598-022-04935-3
  • 加载中
图(12) / 表(1)
计量
  • 文章访问数:  68
  • HTML全文浏览量:  21
  • PDF下载量:  15
  • 被引次数: 0
出版历程
  • 收稿日期:  2024-09-10
  • 修回日期:  2025-02-12
  • 录用日期:  2025-02-14
  • 刊出日期:  2025-08-08

目录

    /

    返回文章
    返回