留言板

尊敬的读者、作者、审稿人, 关于本刊的投稿、审稿、编辑和出版的任何问题, 您可以本页添加留言。我们将尽快给您答复。谢谢您的支持!

姓名
邮箱
手机号码
标题
留言内容
验证码

高精度砂卵石地层钻进模型试验平台研制

梁涛 关岩鹏 韩玉婷 刘晓丽

梁涛, 关岩鹏, 韩玉婷, 刘晓丽. 高精度砂卵石地层钻进模型试验平台研制[J]. 岩土工程技术, 2025, 39(3): 317-324. doi: 10.20265/j.cnki.issn.1007-2993.2025-0015
引用本文: 梁涛, 关岩鹏, 韩玉婷, 刘晓丽. 高精度砂卵石地层钻进模型试验平台研制[J]. 岩土工程技术, 2025, 39(3): 317-324. doi: 10.20265/j.cnki.issn.1007-2993.2025-0015
Liang Tao, Guan Yanpeng, Han Yuting, Liu Xiaoli. Development of high-precision drilling model test platform for sand and gravel formations[J]. GEOTECHNICAL ENGINEERING TECHNIQUE, 2025, 39(3): 317-324. doi: 10.20265/j.cnki.issn.1007-2993.2025-0015
Citation: Liang Tao, Guan Yanpeng, Han Yuting, Liu Xiaoli. Development of high-precision drilling model test platform for sand and gravel formations[J]. GEOTECHNICAL ENGINEERING TECHNIQUE, 2025, 39(3): 317-324. doi: 10.20265/j.cnki.issn.1007-2993.2025-0015

高精度砂卵石地层钻进模型试验平台研制

doi: 10.20265/j.cnki.issn.1007-2993.2025-0015
基金项目: 航天规划设计集团有限公司科研基金(YK2023-02);中国航天建设集团有限公司科研基金(YK2023-02-01)
详细信息
    作者简介:

    梁 涛,男,1978年生,博士,研究员,主要从事工程岩土工程方面的科研工作。 E-mail:729693453@qq.com

    通讯作者:

    关岩鹏,男,1988年生,博士,副教授,主要从事工程抢险方面的科研工作。E-mail:hbgyp2008@163.com

  • 中图分类号: P634

Development of high-precision drilling model test platform for sand and gravel formations

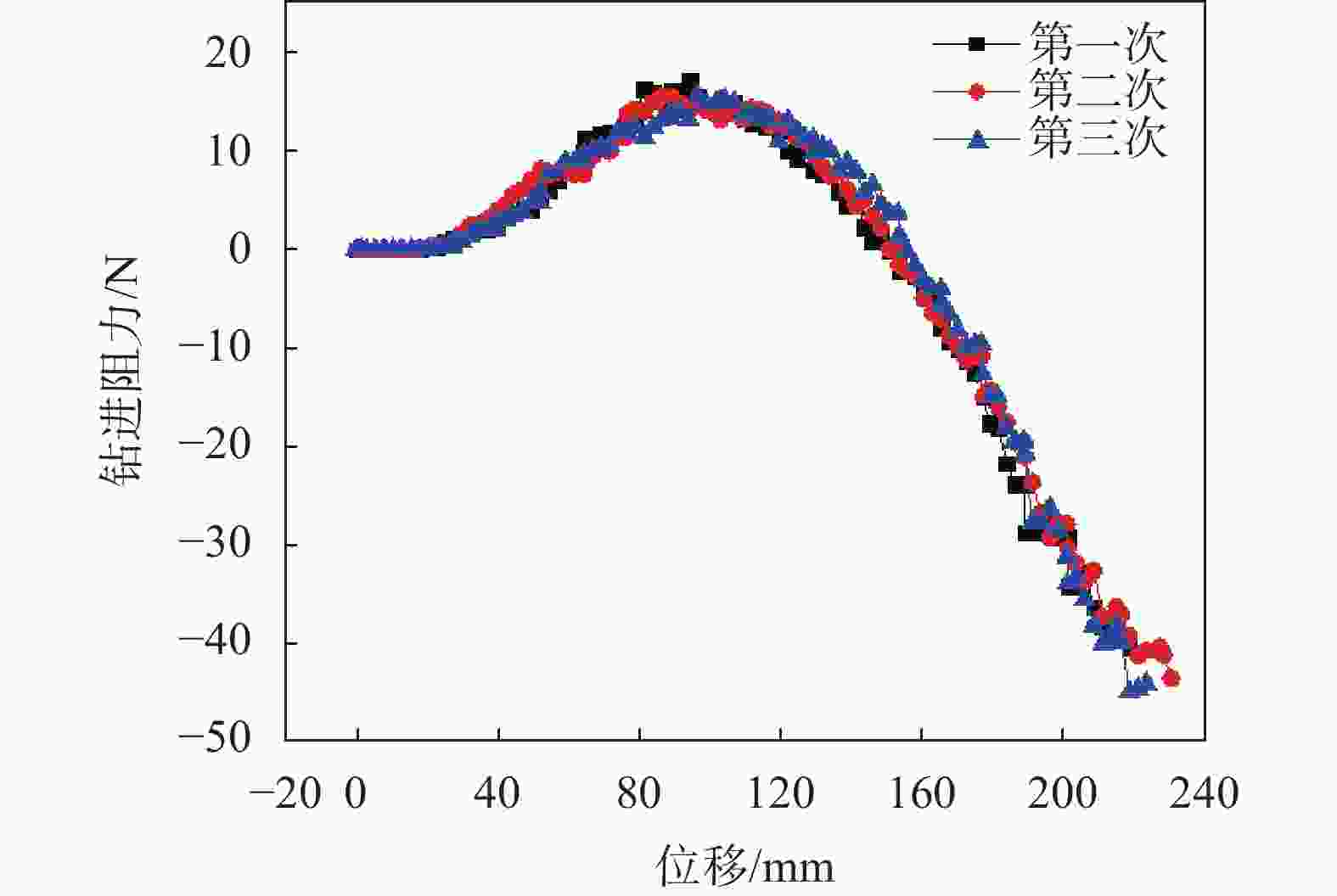
  • 摘要: 相比一般静力学模型试验,钻进类模型试验需考虑动力学问题,试验理论复杂,控制条件严格。在静力学相似比判据的基础上,推导了钻进类模型试验的动力学相似比判据,并研制了匹配的模型试验平台。该平台采用表面振动压实法制备试样,通过精细控制振动条件,克服传统落雨法、人工夯实法的不足,使试样达到最大干密度,密实度与均匀性更高。针对监测数据稳定性要求高的问题,试验在试样桶底部设压力监测传感器监测钻进阻力,消除导向滑轨与旋转钻机平台滑动摩擦力的影响。新方法监测值更稳定,残差平方和约为传统方法的 1/3。试验表明,新型模型试验平台及方法能克服现有技术不足,分辨细微试验条件变化对钻进效率的影响,可用于成桩钻具适应性及钻具选型等研究。

     

  • 图  1  基于表面振动压实法的试样制备装置

    Figure  1.  sample preparation device based on surface vibration compaction method

    图  2  模型试验平台示意图

    Figure  2.  Schematic diagram of model test platform

    图  3  模型试验平台实物图

    Figure  3.  physical drawing of model test platform

    图  4  三条式三切削叶片钻具

    Figure  4.  three bar three cutting blade drilling tool

    图  5  钻具钻进阻转矩(0.2~0.5 mm粒径组)

    Figure  5.  drilling resistance torque of drilling tools (0.2 mm~0.5 mm particle size group)

    图  6  钻具钻进阻力(0.2~0.5 mm粒径组)

    Figure  6.  drilling resistance of drilling tools (0.2 mm~0.5 mm particle size group)

    图  7  模型试验钻进示意图

    Figure  7.  schematic diagram of model test drilling

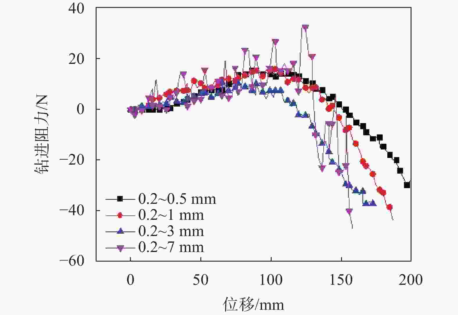
    图  8  钻具钻进阻力监测值(0.2~0.5 mm粒径组)

    Figure  8.  monitoring value of drilling tool drilling resistance (0.2 mm~0.5 mm particle size group)

    图  9  钻具钻进阻力监测值(0.2~3 mm粒径组)

    Figure  9.  monitoring value of drilling resistance of drilling tools (0.2 mm~3 mm particle size group)

    图  10  钻具钻进阻转矩

    Figure  10.  drilling resistance torque of drilling tool

    图  11  钻具钻进阻力

    Figure  11.  drilling resistance of drilling tools

    图  12  锥式三切削叶片钻具

    Figure  12.  conical three cutting blade drill

    图  13  不同钻具的钻进阻转矩对比

    Figure  13.  comparison of drilling resistance torque of different drilling tools

    图  14  不同钻具的钻进阻力对比

    Figure  14.  comparison of drilling resistance of different drilling tools

    表  1  试验用颗粒材料的各粒径范围颗粒所占体积分数

    Table  1.   volume fraction of particles in each particle size range of granular materials for test

    粒径组 体积分数/% 不均匀系数
    0.2~0.5 mm 0.5~1.0 mm 1.0~2.0 mm 2.0~3.0 mm 3.0~4.0 mm 4.0~5.0 mm 5.0~6.0 mm 6.0~7.0 mm
    0.2~0.5 mm粒径组 100 1.6
    0.2~1.0 mm粒径组 50 50 2.5
    0.2~3.0 mm粒径组 25 25 25 25 4.6
    0.2~7.0 mm粒径组 12.5 12.5 12.5 12.5 12.5 12.5 12.5 12.5 8.4
    下载: 导出CSV
  • [1] WEI Y J, YANG Y Y, TAO M J. Effects of gravel content and particle size on abrasivity of sandy gravel mixtures[J]. Engineering Geology,2018,243:26-35. doi: 10.1016/j.enggeo.2018.06.009
    [2] 申玉生, 陈先智, 卢治仁, 等. 富水圆砾地层地铁车站超深基坑施工关键技术[M]. 北京: 中国铁道出版社有限公司, 2019. (SHEN Y S, CHEN X Z, LU Z R, et al. Key technology for ultra deep foundation pit construction of water-rich round gravel formation subway station[M]. Beijing: Publishing House, 2019. (in Chinese)

    SHEN Y S, CHEN X Z, LU Z R, et al. Key technology for ultra deep foundation pit construction of water-rich round gravel formation subway station[M]. Beijing: Publishing House, 2019. (in Chinese)
    [3] 李长清, 叶万军, 胡双平, 等. 高富水卵砾石地层热物理参数试验研究[J]. 工程地质学报,2020,28(3):510-519. (LI C Q, YE W J, HU S P, et al. Experimental study on thermophysical parameters of high water gravel formation for freezing construction[J]. Journal of Engineering Geology,2020,28(3):510-519. (in Chinese)

    LI C Q, YE W J, HU S P, et al. Experimental study on thermophysical parameters of high water gravel formation for freezing construction[J]. Journal of Engineering Geology, 2020, 28(3): 510-519. (in Chinese)
    [4] MA S K, DUAN Z B, HUANG Z, et al. Study on the stability of shield tunnel face in clay and clay-gravel stratum through large-scale physical model tests with transparent soil[J]. Tunnelling and Underground Space Technology,2022,119:104199. doi: 10.1016/j.tust.2021.104199
    [5] ZHEN Z, GE X S, ZHANG J. Soil conditioning tests on sandy and cobbly soil for shield tunneling[J]. KSCE Journal of Civil Engineering,2021,25(4):1229-1238. doi: 10.1007/s12205-021-0921-0
    [6] LIU X R, XIONG F, ZHOU X H, et al. Physical model test on the influence of the cutter head opening ratio on slurry shield tunnelling in a cobble layer[J]. Tunnelling and Underground Space Technology,2022,120:104264. doi: 10.1016/j.tust.2021.104264
    [7] 史旦达, 杨彦骋, 邓益兵, 等. 考虑转速比影响的砂土中螺旋挤扩钻具成孔特性宏细观模型试验[J]. 岩土力学,2018,39(6):1981-1990,1998. (SHI D D, YANG Y C, DENG Y B, et al. Experimental study of the effect of drilling velocity ratio on the behavior of auger piling in sand[J]. Rock and Soil Mechanics,2018,39(6):1981-1990,1998. (in Chinese)

    SHI D D, YANG Y C, DENG Y B, et al. Experimental study of the effect of drilling velocity ratio on the behavior of auger piling in sand[J]. Rock and Soil Mechanics, 2018, 39(6): 1981-1990,1998. (in Chinese)
    [8] 邓益兵, 周 健, 刘 钟, 等. 砂土中螺旋挤扩钻具下旋成孔过程的模型试验研究[J]. 岩石力学与工程学报,2011,30(12):2558-2566. (DENG Y B, ZHOU J, LIU Z, et al. Model test study of augered piling of screw displacement auger in sand[J]. Chinese Journal of Rock Mechanics and Engineering,2011,30(12):2558-2566. (in Chinese)

    DENG Y B, ZHOU J, LIU Z, et al. Model test study of augered piling of screw displacement auger in sand[J]. Chinese Journal of Rock Mechanics and Engineering, 2011, 30(12): 2558-2566. (in Chinese)
    [9] 张 林, 陈建叶. 水工大坝与地基模型试验及工程应用[M]. 成都: 四川大学出版社, 2009. (ZHANG L, CHEN J Y. Hydraulic dam and foundation model test and engineering application[M]. Chengdu: Sichuan University Press, 2009. (in Chinese)

    ZHANG L, CHEN J Y. Hydraulic dam and foundation model test and engineering application[M]. Chengdu: Sichuan University Press, 2009. (in Chinese)
    [10] 张强勇, 李术才, 李 勇, 等. 地下工程模型试验新方法[M]. 北京: 科学出版社, 2012. (ZHANG Q Y, LI S C, LI Y, et al. New method for underground engineering model testing[M]. Beijing: Science Press, 2012. (in Chinese)

    ZHANG Q Y, LI S C, LI Y, et al. New method for underground engineering model testing[M]. Beijing: Science Press, 2012. (in Chinese)
    [11] 中华人民共和国交通运输部. 公路土工试验规程: JTG 3430−2020[S]. 北京: 人民交通出版社, 2020. (Ministry of Transport of the People’s Republic of China. Test methods of soils for highway engineering: JTG 3430−2020[S]. Beijing: China Communications Press, 2020. (in Chinese)

    Ministry of Transport of the People’s Republic of China. Test methods of soils for highway engineering: JTG 3430−2020[S]. Beijing: China Communications Press, 2020. (in Chinese)
    [12] DENIES N, HUYBRECHTS N. Deep mixing method: equipment and field of applications[M]//INDRARATNA B, CHU J, RUJIKIATKAMJORN C. Ground Improvement Case Histories. Amsterdam: Elsevier, 2015: 311-350.
    [13] KITAZUME M, TERASHI M. The deep mixing method[M]. London: CRC Press, 2013.
    [14] 何清华. 工程机械手册: 桩工机械[M]. 北京: 清华大学出版社, 2018. (HE Q H. Handbook of construction machinery: piling machinery [M]. Beijing: Tsinghua University Press, 2018. (in Chinese)

    HE Q H. Handbook of construction machinery: piling machinery [M]. Beijing: Tsinghua University Press, 2018. (in Chinese)
  • 加载中
图(14) / 表(1)
计量
  • 文章访问数:  121
  • HTML全文浏览量:  25
  • PDF下载量:  23
  • 被引次数: 0
出版历程
  • 收稿日期:  2025-01-09
  • 修回日期:  2025-02-13
  • 录用日期:  2025-03-07
  • 刊出日期:  2025-06-09

目录

    /

    返回文章
    返回