Stiffness degradation model of marine soft clay under cyclic loading
-
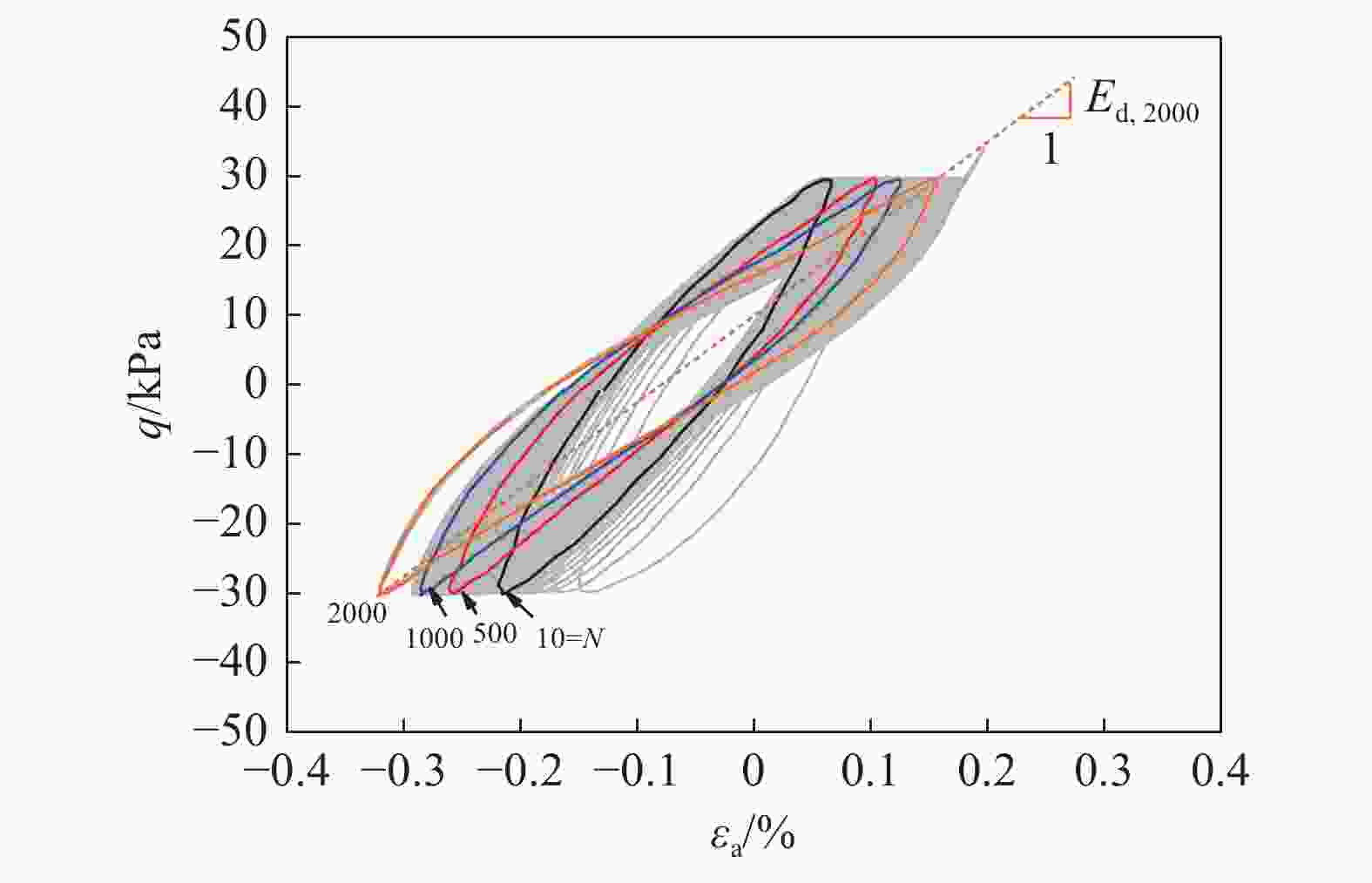
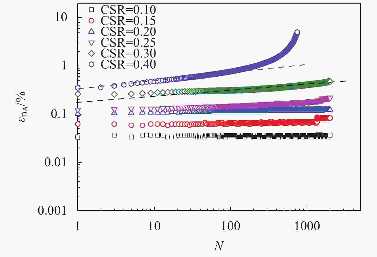
摘要: 利用动三轴仪器对舟山原状海洋软黏土进行了一系列不排水条件下的循环三轴试验,分析风浪流等循环荷载作用对正常固结软黏土刚度弱化特性的影响。试验结果表明,土体动模量弱化规律与循环应力比(CSR)密切相关。在未达到临界CSR前,土样双幅轴向应变
$ \varepsilon\mathrm{_{DA}} $ 随着循环次数线性增长;当CSR大于临界CSR后,试样的刚度随循环次数的增加显著退化,致土样破坏。研究发现,不同围压对动模量循环弱化的影响规律可由CSR反映。由试验所得规律建立了土体刚度随循环次数、循环应力幅值和围压变化的经验公式,利用ABAQUS子程序USDFLD实现了海洋软黏土刚度衰减模型在数值模型中的内嵌,研究成果可以为长期循环荷载条件下海上风机基础承载性能的数值模拟研究提供参考。Abstract: A series of cyclic triaxial tests were conducted on Zhoushan undrained marine soft clay with dynamic triaxial instrument to analyze the effects of cyclic loads such as wind and waves on the stiffness degradation characteristics of normally consolidated soft clay. The test results show that the weakening law of soil dynamic modulus closely correlates with CSR. Before the critical cyclic stress ratio CSR is reached, the double-amplitude axial strain$ \varepsilon\mathrm{_{DA}} $ increases linearly with the number of cycles. When the CSR is greater than the critical CSR, the stiffness of the sample degrades significantly with the increase of the number of cycles, so that the soil sample was destroyed. It was found that the influence of different confining pressures on the cyclic weakening of dynamic modulus was effectively captured by CSR. Based on the experimental rules, an empirical formula for soil stiffness variation with the number of cycles, cyclic stress amplitude and confining pressure was established. The stiffness attenuation model of marine soft clay was implemented in the numerical model by using ABAQUS subroutine USDFLD. The research results can provide a reference for the numerical simulation of the bearing performance of offshore wind turbines under long-term cyclic load conditions.-
Key words:
- marine soft clay /
- cyclic loading /
- stiffness degradation /
- ABAQUS subroutine
-
表 1 常规物理力学特性参数
土样
编号取样
深度/m天然
密度ρ/
(g∙cm−3)干密度
ρd /
(g∙cm−3)土粒
比重
Gs饱和度
Sr /%孔隙比
e0渗透
系数kv /
(cm·s−1)G25-1 0.8~1.0 1.69 1.12 2.71 98 1.42 9.662×10−6 G47-8 11.8~12.0 1.61 1.02 2.69 95 1.63 8.397×10−6 G48-1 0.8~1.0 1.71 1.15 2.70 98 1.34 7.840×10−6 表 2 不排水循环试验汇总
试验编号 有效固结
围压p′0/kPa循环偏应力
幅值qcyc/kPa循环应力比
CSR循环加载
次数NA1 100 10 0.10 2000 A2 100 15 0.15 2000 A3 100 20 0.20 2000 A4 100 25 0.25 2000 A5 100 30 0.30 2000 A6 100 40 0.40 744 A7 150 30 0.20 2000 A8 150 50 0.33 2000 A9 50 10 0.20 2000 注:p′0为有效固结围压;qcyc为正弦波的幅值;N为循环加载次数;$ \mathrm{CSR}=\dfrac{P_0'}{q_{\mathrm{cyc}}} $。 -
[1] BYRNE B W, HOULSBY G T. Assessing novel foundation options for offshore wind turbines[C]//World Maritime Technology Conference. London, 2006. [2] LEBLANC C, BYRNE B W, HOULSBY G T. Response of stiff piles to random two-way lateral loading[J]. Géotechnique, 2010, 60(9): 715-721. [3] 陆素洁, 童俊豪, 潘 坤, 等. 静动荷载作用下海洋软黏土刚度弱化特性研究[J]. 岩土工程学报, 2020, 42(S1): 116-120. (LU S J, TONG J H, PAN K, et al. Stiffness degradation of marine soft clay under monotonic and cyclic loadings[J]. Chinese Journal of Geotechnical Engineering, 2020, 42(S1): 116-120. (in Chinese) doi: 10.11779/CJGE2020S1023LU S J, TONG J H, PAN K, et al. Stiffness degradation of marine soft clay under monotonic and cyclic loadings[J]. Chinese Journal of Geotechnical Engineering, 2020, 42(S1): 116-120. (in Chinese) doi: 10.11779/CJGE2020S1023 [4] 王 军, 蔡袁强, 徐长节. 循环荷载作用下软黏土刚度软化特征试验研究[J]. 岩土力学, 2007, 28(10): 2138-2144. (WANG J, CAI Y Q, XU C J. Experimental study on degradation of stiffness of saturated soft clay under undrained cyclic loading[J]. Rock and Soil Mechanics, 2007, 28(10): 2138-2144. (in Chinese)WANG J, CAI Y Q, XU C J. Experimental study on degradation of stiffness of saturated soft clay under undrained cyclic loading[J]. Rock and Soil Mechanics, 2007, 28(10): 2138-2144. (in Chinese) [5] 郭小青, 朱 斌, 刘晋超, 等. 珠江口海洋软土不排水抗剪强度及循环弱化特性试验研究[J]. 岩土力学, 2016, 37(4): 1005-1012. (GUO X Q, ZHU B, LIU J C, et al. Experimental study of undrained shear strength and cyclic degradation behaviors of marine clay in Pearl River Estuary[J]. Rock and Soil Mechanics, 2016, 37(4): 1005-1012. (in Chinese)GUO X Q, ZHU B, LIU J C, et al. Experimental study of undrained shear strength and cyclic degradation behaviors of marine clay in Pearl River Estuary[J]. Rock and Soil Mechanics, 2016, 37(4): 1005-1012. (in Chinese) [6] PAN K, YUAN Z H, ZHAO C F, et al. Undrained shear and stiffness degradation of intact marine clay under monotonic and cyclic loading[J]. Engineering Geology, 2022, 297: 106502. doi: 10.1016/j.enggeo.2021.106502 [7] IDRISS I M, DOBRY R, SINGH R D. Nonlinear behavior of soft clays during cyclic loading[J]. Journal of the Geotechnical Engineering Division, 1978, 104(12): 1427-1447. doi: 10.1061/AJGEB6.0000727 [8] MATASOVIĆ N, VUCETIC M. Generalized cyclic-degradation-pore-pressure generation model for clays[J]. Journal of Geotechnical Engineering, 1995, 121(1): 33-42. doi: 10.1061/(ASCE)0733-9410(1995)121:1(33) [9] ZHOU J, GONG X N. Strain degradation of saturated clay under cyclic loading[J]. Canadian Geotechnical Journal, 2001, 38(1): 208-212. doi: 10.1139/t00-062 [10] VUCETIC M, DOBRY R. Degradation of marine clays under cyclic loading[J]. Journal of Geotechnical Engineering, 1988, 114(2): 133-149. doi: 10.1061/(ASCE)0733-9410(1988)114:2(133) [11] MORTEZAIE A R, VUCETIC M. Effect of frequency and vertical stress on cyclic degradation and pore water pressure in clay in the NGI simple shear device[J]. Journal of Geotechnical and Geoenvironmental Engineering, 2013, 139(10): 1727-1737. doi: 10.1061/(ASCE)GT.1943-5606.0000922 [12] ZHANG Y, JIANG M J, JIA M C, et al. Undrained responses of reconstituted saturated soft clay with various stress paths[J]. International Journal of Geomechanics, 2022, 22(10): 04022167. doi: 10.1061/(ASCE)GM.1943-5622.0002506 [13] CAI Y Q, WU T Y, GUO L, et al. Stiffness degradation and plastic strain accumulation of clay under cyclic load with principal stress rotation and deviatoric stress variation[J]. Journal of Geotechnical and Geoenvironmental Engineering, 2018, 144(5): 04018021. doi: 10.1061/(ASCE)GT.1943-5606.0001854 [14] 伍婷玉. 交通荷载引起主应力轴旋转下粘土应变累积及非共轴特性[D]. 杭州: 浙江大学, 2019. (WU T Y. Strain accumulation and non-coaxial characteristics of clay under principal stress rotation induced by traffic loading[D]. Hangzhou: Zhejiang University, 2019. (in Chinese)WU T Y. Strain accumulation and non-coaxial characteristics of clay under principal stress rotation induced by traffic loading[D]. Hangzhou: Zhejiang University, 2019. (in Chinese) [15] CHAI J C, MIURA N. Traffic-load-induced permanent deformation of road on soft subsoil[J]. Journal of Geotechnical and Geoenvironmental Engineering, 2002, 128(11): 907-916. doi: 10.1061/(ASCE)1090-0241(2002)128:11(907) [16] LEKARP F, ISACSSON U, DAWSON A. State of the art. II: permanent strain response of unbound aggregates[J]. Journal of Transportation Engineering, 2000, 126(1): 76-83. doi: 10.1061/(ASCE)0733-947X(2000)126:1(76) [17] REN X W, XU Q, TENG J D, et al. A novel model for the cumulative plastic strain of soft marine clay under long-term low cyclic loads[J]. Ocean Engineering, 2018, 149: 194-204. doi: 10.1016/j.oceaneng.2017.12.028 [18] GUO L, WANG J, CAI Y Q, et al. Undrained deformation behavior of saturated soft clay under long-term cyclic loading[J]. Soil Dynamics and Earthquake Engineering, 2013, 50: 28-37. doi: 10.1016/j.soildyn.2013.01.029 [19] 南博文. 基于砂土刚度衰减模型的大直径桩修正p-y曲线法研究[D]. 杭州: 浙江大学, 2019. (NAN B W. Studies on modified p-y curves method of monopile based on the degradation stiffness model of sand[D]. Hangzhou: Zhejiang University, 2019. (in Chinese)NAN B W. Studies on modified p-y curves method of monopile based on the degradation stiffness model of sand[D]. Hangzhou: Zhejiang University, 2019. (in Chinese) -


下载: