Drilling technology and experiment of small aperture anchor cable in weak-broken rock
-
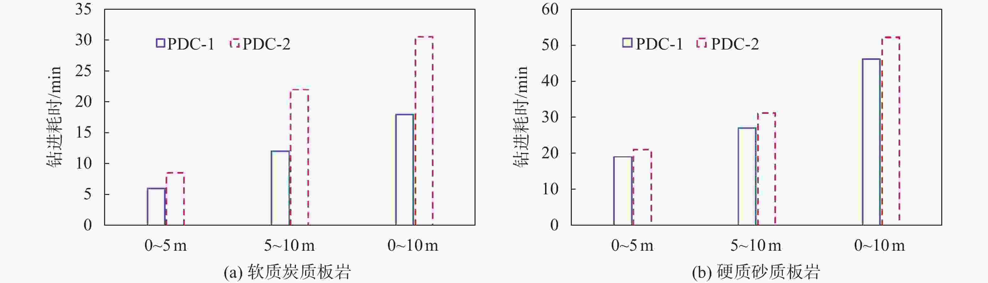
摘要: 如何高效施钻深锚孔是制约小孔径预应力锚索在软弱破碎围岩中应用的关键。以木寨岭公路隧道为工程依托,在分析钻进关键参数基础上,选择适宜锚杆钻机和PDC钻具开展了小孔径锚索钻孔钻进技术研究与试验。主要结论如下:提出的基于转速n、轴推力F、扭矩M等关键参数的锚杆钻机选型方法,能够实现对锚杆钻机的合理选型;后倾角是PDC钻具钻进工效和使用寿命的关键影响因素,设计应以20°为基准;适当减小PDC钻具后倾角有助于提升钻进工效,且随岩石强度降低及钻进深度增加,提升效果越明显,但存在着PDC钻具使用寿命下降的情况。研究成果有助于提升小孔径预应力锚索的施工工效。Abstract: How to efficiently drill deep anchor hole is a key factor that restricts the application of small aperture prestressed anchor cable system in weak-broken rock. Taking the Muzhailing Highway Tunnel as an example, based on the analysis of key drilling parameters, suitable bolt drilling rig and PDC drilling bit was selected to conduct research on the drilling technology of small aperture anchor cable. The main conclusions are as follows: The selection method of bolt drilling rig based on key parameters such as rotational speed n, shaft thrust F and torque M can effectively realize the reasonable selection of bolt drilling rig. The back rake angle is a key factor affecting the drilling efficiency and service life of PDC drilling tool, and the design should be based on 20°. Properly reducing the back rake angle of PDC drilling bit is helpful to improve the drilling efficiency, and with the decrease of rock strength and the increase of drilling depth, the improvement effect is more and more obvious, but there is a decrease in the service life of PDC drilling bit. The research results are helpful to improve the construction efficiency of small aperture prestressed anchor cable.
-
表 1 岩体主要力学指标
岩体名称 抗压强度R/MPa 变形模量E/GPa 泊松比ν 内摩擦角φ/(°) 黏聚力c/MPa 炭质板岩 16~38 2 0.37 32 0.9 砂质板岩 39~65 3.5 0.34 35 1.2 表 2 MQT-130/3.2钻机主要参数

参数 设计值 优选值 备注 转速/(r∙min) 260 220~384 满足要求 转矩/(N∙m) 130 >22.7 满足要求 最大推力/kN 8.8 >7.7 炭质板岩中钻速>0.8 m/min 表 3 2种PDC钻具的主要参数

PDC-1
PDC-2编号 钻具直径/mm PDC片半径/mm 后倾角/(°) 侧转角/(°) 材质 PDC-1 28 6.75 17.5 5 35CrMo合金钢+PDC PDC-2 28 6.75 20 5 35CrMo合金钢+PDC 表 4 试验段信息
编号 里程 岩性 代表性掌子面 抗压强度Rc/MPa 地下水情况 钻具 钻孔统计数/个 Y-1-1 ZK216+943~+934.2 炭质
板岩
20~33(6组) 不发育 PDC-1 75 Y-1-2 ZK216+934.2~+925.8 16~35(8组) PDC-2 75 Y-2-1 YK219+845.8~+855.4 砂质
板岩
42~61(10组) PDC-1 75 Y-2-2 YK219+874.6~+884.2 33~70(10组) PDC-2 75 -
[1] 何满潮, 任树林, 陶志刚. 深埋隧道灾变防控方法[J]. 工程地质学报, 2022, 30(6): 1777-1797. (HE M C, REN S L, TAO Z G. Disaster prevention and control methods for deep buried tunnels[J]. Journal of Engineering Geology, 2022, 30(6): 1777-1797. (in Chinese)HE M C, REN S L, TAO Z G. Disaster prevention and control methods for deep buried tunnels[J]. Journal of Engineering Geology, 2022, 30(6): 1777-1797. (in Chinese) [2] 于家武, 郭新新. 木寨岭公路隧道复合型大变形控制技术与实践[J]. 隧道建设(中英文), 2021, 41(9): 1565-1576. (YU J W, GUO X X. Composite large deformation control techniques for Muzhailing highway tunnel[J]. Tunnel Construction, 2021, 41(9): 1565-1576. (in Chinese)YU J W, GUO X X. Composite large deformation control techniques for Muzhailing highway tunnel[J]. Tunnel Construction, 2021, 41(9): 1565-1576. (in Chinese) [3] 任 浩, 张 斌, 边鹏飞, 等. 挤压性围岩隧道施工案例分析及技术对策[J]. 现代隧道技术, 2021, 58(S2): 165-171. (REN H, ZHANG B, BIAN P F, et al. Case analysis and technical countermeasures of tunnelling in squeezing surrounding rocks[J]. Modern Tunnelling Technology, 2021, 58(S2): 165-171. (in Chinese)REN H, ZHANG B, BIAN P F, et al. Case analysis and technical countermeasures of tunnelling in squeezing surrounding rocks[J]. Modern Tunnelling Technology, 2021, 58(S2): 165-171. (in Chinese) [4] 郭新新, 杨铁轮, 马振旺, 等. 软岩挤压型大变形隧道锚杆施工特性及工艺优化[J]. 铁道科学与工程学报, 2020, 17(4): 924-930. (GUO X X, YANG T L, MA Z W, et al. Optimization of construction machine and technology of bolt for large squeezing deformation tunnel in soft rock[J]. Journal of Railway Science and Engineering, 2020, 17(4): 924-930. (in Chinese)GUO X X, YANG T L, MA Z W, et al. Optimization of construction machine and technology of bolt for large squeezing deformation tunnel in soft rock[J]. Journal of Railway Science and Engineering, 2020, 17(4): 924-930. (in Chinese) [5] 刘熙媛, 张 冲, 曹富兴, 等. 公路隧道散体围岩中锚杆支护优化布置研究[J]. 公路工程, 2022, 47(4): 53-60. (LIU X Y, ZHANG C, CAO F X, et al. Study on optimal arrangement of bolt supporting in bulk rock of highway tunnel[J]. Highway Engineering, 2022, 47(4): 53-60. (in Chinese) doi: 10.12361/2661-3522-04-04-76150LIU X Y, ZHANG C, CAO F X, et al. Study on optimal arrangement of bolt supporting in bulk rock of highway tunnel[J]. Highway Engineering, 2022, 47(4): 53-60. (in Chinese) doi: 10.12361/2661-3522-04-04-76150 [6] 金宇轩. 基于Hoek-Brown强度准则的锚杆支护效应研究[J]. 公路工程, 2024, 49(2): 105-109. (JIN Y X. Study on bolt support effect based on hoek brown strength criterion[J]. Highway Engineering, 2024, 49(2): 105-109. (in Chinese)JIN Y X. Study on bolt support effect based on hoek brown strength criterion[J]. Highway Engineering, 2024, 49(2): 105-109. (in Chinese) [7] 康红普, 姜鹏飞, 刘 畅, 等. 煤巷锚杆支护施工装备现状及发展趋势[J]. 工矿自动化, 2023, 49(1): 1-18. (KANG H P, JIANG P F, LIU C, et al. Current situation and development trend of rock bolting construction equipment in coal roadway[J]. Journal of Mine Automation, 2023, 49(1): 1-18. (in Chinese)KANG H P, JIANG P F, LIU C, et al. Current situation and development trend of rock bolting construction equipment in coal roadway[J]. Journal of Mine Automation, 2023, 49(1): 1-18. (in Chinese) [8] 于红星. 基于ABAQUS的机载锚杆钻机钻头优化方法[J]. 煤炭技术, 2022, 41(8): 244-246. (YU H X. Optimization method of airborne roof bolter bit based on ABAQUS[J]. Coal Technology, 2022, 41(8): 244-246. (in Chinese)YU H X. Optimization method of airborne roof bolter bit based on ABAQUS[J]. Coal Technology, 2022, 41(8): 244-246. (in Chinese) [9] 郑朝保, 张 龙, 冯中兴, 等. 我国隧道凿岩设备的应用与发展[J]. 现代隧道技术, 2018, 55(4): 9-13,24. (ZHENG C B, ZHANG L, FENG Z X, et al. Development and application of rock-drilling equipment in China[J]. Modern Tunnelling Technology, 2018, 55(4): 9-13,24. (in Chinese)ZHENG C B, ZHANG L, FENG Z X, et al. Development and application of rock-drilling equipment in China[J]. Modern Tunnelling Technology, 2018, 55(4): 9-13,24. (in Chinese) [10] 张国榉, 叶凌云, 邓治洲, 等. 加快研发钎具使用技术及配套机具, 克服钎具发展短板[J]. 凿岩机械气动工具, 2016(1): 6-17. (ZHANG G J, YE L Y, DENG Z Z, et al. Forging ahead R&D of rock-drilling tools’ application technology and matching attachments and breaking the bottlenecks during the development of rock-drilling tools[J]. Rock Drilling Machinery & Pneumatic Tools, 2016(1): 6-17. (in Chinese)ZHANG G J, YE L Y, DENG Z Z, et al. Forging ahead R&D of rock-drilling tools’ application technology and matching attachments and breaking the bottlenecks during the development of rock-drilling tools[J]. Rock Drilling Machinery & Pneumatic Tools, 2016(1): 6-17. (in Chinese) [11] 秦文光, 王富强, 徐双用, 等. 锚杆支护钻机现状与发展趋势[J]. 煤矿机械, 2023, 44(4): 93-95. (QIN W G, WANG F Q, XU S Y, et al. Current situation and development trend of bolt support drilling rig[J]. Coal Mine Machinery, 2023, 44(4): 93-95. (in Chinese)QIN W G, WANG F Q, XU S Y, et al. Current situation and development trend of bolt support drilling rig[J]. Coal Mine Machinery, 2023, 44(4): 93-95. (in Chinese) [12] 付孟雄, 刘少伟, 贾后省, 等. 巷道下向小孔径锚固孔钻进产渣特征及高效钻头设计[J]. 煤炭学报, 2022, 47(6): 2311-2325. (FU M X, LIU S W, JIA H S, et al. Fragments generation characteristics and design of a kind of efficient rock breaking bit during borehole drilling with small diameter at a downward angle of coal mine roadway[J]. Journal of China Coal Society, 2022, 47(6): 2311-2325. (in Chinese)FU M X, LIU S W, JIA H S, et al. Fragments generation characteristics and design of a kind of efficient rock breaking bit during borehole drilling with small diameter at a downward angle of coal mine roadway[J]. Journal of China Coal Society, 2022, 47(6): 2311-2325. (in Chinese) [13] 孙荣军. 煤矿用锚杆钻头的应用现状与发展趋势[J]. 探矿工程(岩土钻掘工程), 2017, 44(5): 58-61. (SUN R J. Application status and developmental trend of anchor drill bit in coal mine[J]. Exploration Engineering (Rock & Soil Drilling and Tunneling), 2017, 44(5): 58-61. (in Chinese)SUN R J. Application status and developmental trend of anchor drill bit in coal mine[J]. Exploration Engineering (Rock & Soil Drilling and Tunneling), 2017, 44(5): 58-61. (in Chinese) [14] 杨 鹏. 锚杆钻机回转与推进的液压系统协同控制研究[D]. 淮南: 安徽理工大学, 2022. (YANG P. Cooperative control strategy of hydraulic system for rotation and propulsion in the anchor-hole driller[D]. Huainan: Anhui University of Science and Technology, 2022. (in Chinese)YANG P. Cooperative control strategy of hydraulic system for rotation and propulsion in the anchor-hole driller[D]. Huainan: Anhui University of Science and Technology, 2022. (in Chinese) [15] 徐锁庚. 软岩巷道底板液压钻机设计理论及关键技术研究[D]. 徐州: 中国矿业大学, 2014. (XU S G. Research on design theory and key technologies of the hydraulic roof bolter for floor of soft rock roadway[D]. Xuzhou: China University of Mining and Technology, 2014. (in Chinese)XU S G. Research on design theory and key technologies of the hydraulic roof bolter for floor of soft rock roadway[D]. Xuzhou: China University of Mining and Technology, 2014. (in Chinese) [16] 张 俊, 姚多喜, 鲁海峰, 等. 煤系岩体物理力学参数特征及统计分析—以皖北青东煤矿为例[J]. 龙岩学院学报, 2019, 37(2): 39-49. (ZHANG J, YAO D X, LU H F, et al. Characteristics and statistical analysis of physical and mechanical parameters of coal measures rock mass——a case study of Qingdong coal mine in morthern Anhui[J]. Journal of Longyan University, 2019, 37(2): 39-49. (in Chinese)ZHANG J, YAO D X, LU H F, et al. Characteristics and statistical analysis of physical and mechanical parameters of coal measures rock mass——a case study of Qingdong coal mine in morthern Anhui[J]. Journal of Longyan University, 2019, 37(2): 39-49. (in Chinese) [17] 杨占军. 岩石抗剪强度的检测与计算[J]. 内蒙古煤炭经济, 2022(21): 148-150. (YANG Z J. Detection and calculation of rock shear strength[J]. Inner Mongolia Coal Economy, 2022(21): 148-150. (in Chinese)YANG Z J. Detection and calculation of rock shear strength[J]. Inner Mongolia Coal Economy, 2022(21): 148-150. (in Chinese) [18] 刘 彪, 吴 杰, 张 俊, 等. 基于离散元方法的PDC钻头切削齿破岩机理数值模拟[J]. 矿业研究与开发, 2021, 41(2): 165-169. (LIU B, WU J, ZHANG J, et al. Numerical simulation on the rock breaking of cutter teeth of PDC cutter based on discrete element method[J]. Mining Research and Development, 2021, 41(2): 165-169. (in Chinese)LIU B, WU J, ZHANG J, et al. Numerical simulation on the rock breaking of cutter teeth of PDC cutter based on discrete element method[J]. Mining Research and Development, 2021, 41(2): 165-169. (in Chinese) [19] 李田军. PDC钻头破碎岩石的力学分析与机理研究[D]. 武汉: 中国地质大学, 2012. (LI T J. Mechanical analysis and fragmentation mechanism of PDC bits drilling rock[D]. Wuhan: China University of Geosciences, 2012. (in Chinese)LI T J. Mechanical analysis and fragmentation mechanism of PDC bits drilling rock[D]. Wuhan: China University of Geosciences, 2012. (in Chinese) [20] 高 科, 孙 阳, 刘 婧, 等. 石灰岩地层PDC钻头仿生PDC齿工作角优化试验研究[J]. 探矿工程(岩土钻掘工程), 2015, 42(11): 70-73. (GAO K, SUN Y, LIU J, et al. Experimental study on bionic PDC cutting teeth of PDC bit working angle optimization for limestone stratum[J]. Exploration Engineering (Rock & Soil Drilling and Tunneling), 2015, 42(11): 70-73. (in Chinese)GAO K, SUN Y, LIU J, et al. Experimental study on bionic PDC cutting teeth of PDC bit working angle optimization for limestone stratum[J]. Exploration Engineering (Rock & Soil Drilling and Tunneling), 2015, 42(11): 70-73. (in Chinese) -
下载: