Experimental study on long-term rebound characteristics of expansive soil
-
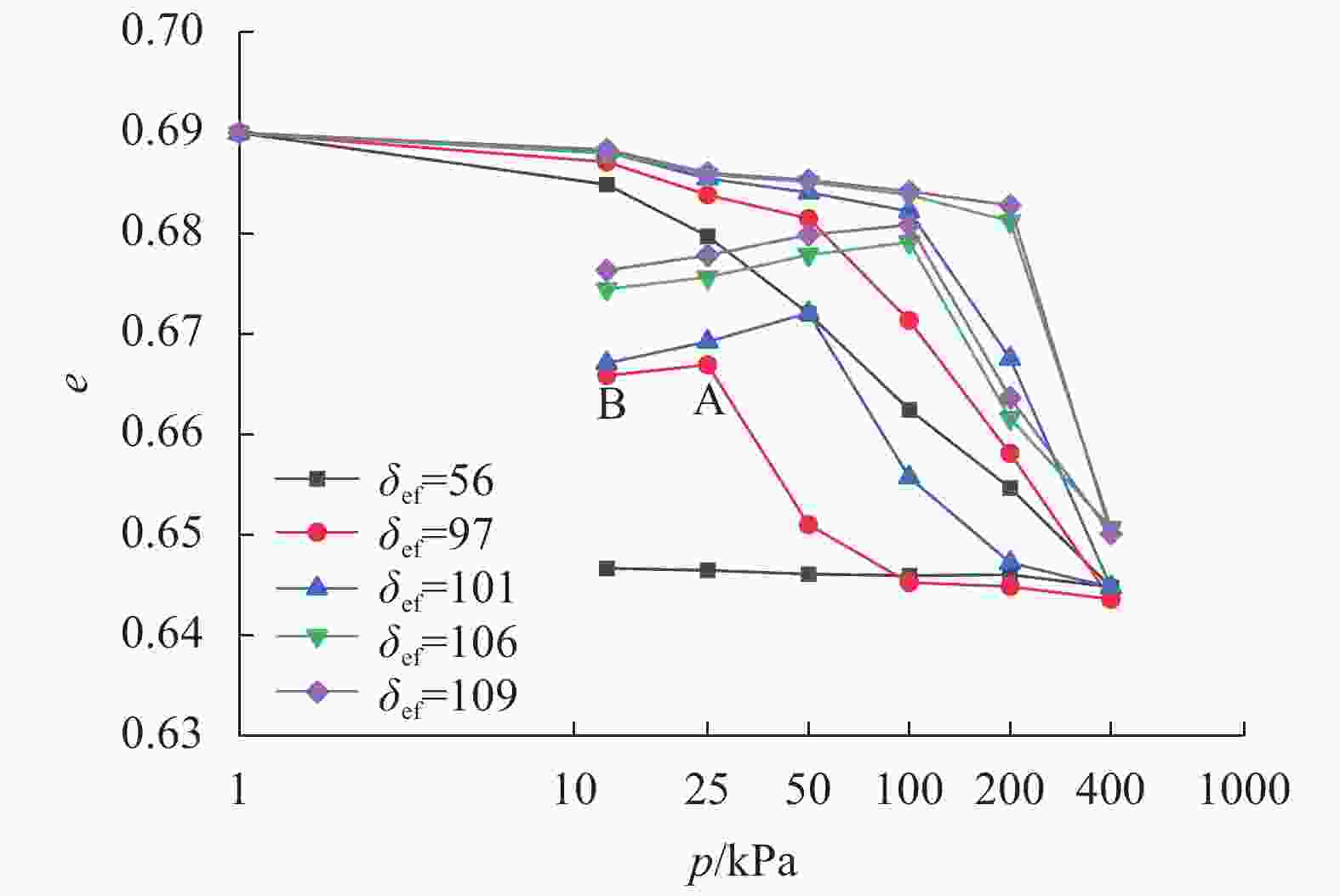
摘要: 为研究膨胀土的长期回弹变形特性,以人工配置的具有不同膨胀潜势的饱和膨胀土为研究对象,开展了不同应力水平下的长期侧限回弹试验。研究发现:(1)卸荷过程中,弱膨胀土表现出良好的线性回弹特征,而强膨胀土表现出高度非线性;(2)卸荷后的长期回弹变形可划分为主回弹变形、次固结变形两部分;当强膨胀土的回弹率小于极限回弹率,变形两阶段均存在;回弹率达到极限回弹率后,主回弹阶段消失,次固结阶段占据整个变形过程;(3)膨胀土自由膨胀率越大,其压缩指数、回弹指数、极限回弹率越大,临界卸荷比越小,极限回弹率与自由膨胀率之间存在明显的线性关系;(4)随自由膨胀率的增大,次固结系数呈指数型增加,次固结阶段开始时间推迟。Abstract: To investigate the long-term rebound deformation characteristics of expansive soils, a series of confined long-term rebound tests under varying stress levels was conducted on artificially prepared saturated expansive soils with different swelling potentials. The key findings are: (1) During unloading, weak expansive soils demonstrate clear linear rebound characteristics, while strong expansive soils exhibit pronounced nonlinear rebound characteristics. (2) Long-term rebound deformation following unloading consists of two distinct components: primary rebound deformation and secondary consolidation deformation. When the rebound rate of strong expansive soil is less than the ultimate rebound rate, both deformation stages exist. After the rebound rate reaches the ultimate rebound rate, the primary rebound deformation disappears, and the secondary consolidation deformation occupies the entire deformation process. (3) As the free swell ratio of expansive soils increases, so do the compression index, rebound index, and ultimate rebound ratio, while the critical unloading ratio decreases. A strong linear correlation is observed between the ultimate rebound ratio and the free swell ratio. (4) As the free swell ratio increases, the secondary consolidation coefficient grows exponentially, and the onset of the secondary consolidation stage is delayed.
-
Key words:
- expansive soil /
- free swell ratio /
- secondary consolidation /
- rebound /
- unloading
-
图 6 回弹变形量和吸水量随时间的变化曲线(数据来源于文献[15])
Figure 6. Curves of rebound deformation and water absorption capacity vs. time
表 1 膨润土主要矿物成分
Table 1. Main mineral components of bentonite
矿物名称 含量/% 蒙脱石 45.8 斜发沸石 22.8 长石 18.6 方解石 4.4 石英 4.1 表 2 膨润土物理性质指标
Table 2. Physical property indicators of bentonite
指标名称 指标值 膨胀指数/(mL/2g) 25.0 阳离子交换量/(cmol∙kg−1) 62.1 比重 2.71 液限/% 153.4 塑限/% 26.8 塑性指数 126.6 表 3 混合土样的物理性质指标
Table 3. Physical properties of mixed soil samples
组别 膨润土
掺量/%饱和
含水率/%饱和度
/%初始
孔隙比塑性
指数${\delta _{{\text{ef}}}}$/% A 10 27.6 100 0.69 14.8 56 B 20 25.8 99 0.69 18.9 97 C 30 27.0 100 0.69 30.6 101 D 40 27.4 100 0.69 45.0 106 E 50 30.0 100 0.69 67.9 109 表 4 试样的回弹率
Table 4. Rebound rate of the test sample
组别 回弹率$\lambda $ R=0.5 R=0.75 R=0.875 R=0.94 R=0.97 ${\lambda _{\max }}$ A −0.0002 −0.0012 −0.0010 0.0005 0.0007 0.0007 B −0.0004 0.0009 0.0108 0.0339 0.0328 0.0343 C −0.0004 0.0157 0.0382 0.0367 0.0336 0.0393 D 0.0159 0.0415 0.0396 0.0371 0.0341 0.0437 E 0.0208 0.0455 0.0439 0.0409 0.0374 0.0473 -
[1] 韩会增, 文江泉, 李淑芬. 南昆线膨胀岩(土)胀缩特性研究[J]. 西南交通大学学报, 1995, 30(3): 239-244. (HAN H Z, WEN J Q, LI S F. Research on the swelling and shrinkage of the swelling rock along the Nankun railway[J]. Journal of Southwest Jiaotong University, 1995, 30(3): 239-244. (in Chinese)HAN H Z, WEN J Q, LI S F. Research on the swelling and shrinkage of the swelling rock along the Nankun railway[J]. Journal of Southwest Jiaotong University, 1995, 30(3): 239-244. (in Chinese) [2] 秦朝辉. 云桂铁路膨胀土膨胀特性与强度特性现场试验研究[D]. 长沙: 中南大学, 2012. (QIN Z H. Field experimental study on expansion characteristics and strength properties of expansive soils at Yun Gui railway[D]. Changsha: Central South University, 2012. (in Chinese)QIN Z H. Field experimental study on expansion characteristics and strength properties of expansive soils at Yun Gui railway[D]. Changsha: Central South University, 2012. (in Chinese) [3] 丁国权, 袁俊平. 膨胀土边坡防护机理分析及防护方法比较[J]. 岩土工程技术, 2018, 32(2): 83-87. (DING G Q, YUAN J P. Analysis on protection mechanism and comparison on protection methods for expansive soil slope[J]. Geotechnical Engineering Technique, 2018, 32(2): 83-87. (in Chinese)DING G Q, YUAN J P. Analysis on protection mechanism and comparison on protection methods for expansive soil slope[J]. Geotechnical Engineering Technique, 2018, 32(2): 83-87. (in Chinese) [4] 师旭超, 汪 稔, 韩 阳. 卸荷作用下淤泥变形规律的试验研究[J]. 岩土力学, 2004, 25(8): 1259-1262. (SHI X C, WANG R, HAN Y. Test research on deformation properties of ooze under unloading[J]. Rock and Soil Mechanics, 2004, 25(8): 1259-1262. (in Chinese)SHI X C, WANG R, HAN Y. Test research on deformation properties of ooze under unloading[J]. Rock and Soil Mechanics, 2004, 25(8): 1259-1262. (in Chinese) [5] 常 青, 余湘娟, 董卫军. 软土卸荷次回弹变形特性研究[J]. 河海大学学报(自然科学版), 2006, 34(4): 444-446. (CHANG Q, YU X J, DONG W J. Study on secondary resilience deformation of soft soil under unloading[J]. Journal of Hohai University (Natural Sciences), 2006, 34(4): 444-446. (in Chinese)CHANG Q, YU X J, DONG W J. Study on secondary resilience deformation of soft soil under unloading[J]. Journal of Hohai University (Natural Sciences), 2006, 34(4): 444-446. (in Chinese) [6] 张淑朝, 张建新, 张 阳, 等. 基坑开挖卸荷土体回弹实验研究[J]. 岩土工程学报, 2008, 30(S1): 426-429. (ZHANG S C, ZHANG J X, ZHANG Y, et al. Experimental study on rebound of clay due to foundation excavation[J]. Chinese Journal of Geotechnical Engineering, 2008, 30(S1): 426-429. (in Chinese)ZHANG S C, ZHANG J X, ZHANG Y, et al. Experimental study on rebound of clay due to foundation excavation[J]. Chinese Journal of Geotechnical Engineering, 2008, 30(S1): 426-429. (in Chinese) [7] 肖宏彬, 金文婷, 马千里, 等. 南宁膨胀土加载−卸载试验及蠕变特性[J]. 自然灾害学报, 2011, 20(2): 1-7. (XIAO H B, JIN W T, MA Q L, et al. Loading and unloading test and creep characteristics of Nanning expansive soils[J]. Journal of Natural Disasters, 2011, 20(2): 1-7. (in Chinese)XIAO H B, JIN W T, MA Q L, et al. Loading and unloading test and creep characteristics of Nanning expansive soils[J]. Journal of Natural Disasters, 2011, 20(2): 1-7. (in Chinese) [8] 余志华, 桂 跃, 付 坚, 等. 轴向卸荷条件下泥炭质土回弹变形试验研究[J]. 水文地质工程地质, 2015, 42(5): 107-114. (YU Z H, GUI Y, FU J, et al. An experimental study of the rebound deformation characteristics and mechanism of peaty soil under unloading[J]. Hydrogeology & Engineering Geology, 2015, 42(5): 107-114. (in Chinese)YU Z H, GUI Y, FU J, et al. An experimental study of the rebound deformation characteristics and mechanism of peaty soil under unloading[J]. Hydrogeology & Engineering Geology, 2015, 42(5): 107-114. (in Chinese) [9] 李晶晶, 孔令伟. 膨胀土卸荷蠕变特性及其非线性蠕变模型[J]. 岩土力学, 2019, 40(9): 3465-3473. (LI J J, KONG L W. Creep properties of expansive soil under unloading stress and its nonlinear constitutive model[J]. Rock and Soil Mechanics, 2019, 40(9): 3465-3473. (in Chinese)LI J J, KONG L W. Creep properties of expansive soil under unloading stress and its nonlinear constitutive model[J]. Rock and Soil Mechanics, 2019, 40(9): 3465-3473. (in Chinese) [10] 邵梧敏, 谭罗荣, 张梅英, 等. 膨胀土的矿物组成与膨胀特性关系的试验研究[J]. 岩土力学, 1994, 15(1): 11-19. (SHAO W M, TAN L R, ZHANG M Y, et al. The relation between mineral composition and swelling character of swelling soil[J]. Rock and Soil Mechanics, 1994, 15(1): 11-19. (in Chinese)SHAO W M, TAN L R, ZHANG M Y, et al. The relation between mineral composition and swelling character of swelling soil[J]. Rock and Soil Mechanics, 1994, 15(1): 11-19. (in Chinese) [11] 高国瑞, 韩爱民. 论中国区域性土的分布和岩土性质的形成[J]. 岩土工程学报, 2005, 27(5): 511-515. (GAO G R, HAN A M. Distribution of regional soils in China and formation of their special geotechnical properties[J]. Chinese Journal of Geotechnical Engineering, 2005, 27(5): 511-515. (in Chinese) doi: 10.3321/j.issn:1000-4548.2005.05.005GAO G R, HAN A M. Distribution of regional soils in China and formation of their special geotechnical properties[J]. Chinese Journal of Geotechnical Engineering, 2005, 27(5): 511-515. (in Chinese) doi: 10.3321/j.issn:1000-4548.2005.05.005 [12] 罗光财, 周紫薇, 王智超, 等. 合肥弱膨胀土力学特征及饱水扰动影响[J]. 岩土工程技术, 2024, 38(5): 624-630. (LUO G C, ZHOU Z W, WANG Z C, et al. Mechanical characteristics of slight-expansive soil in Hefei and its effect by saturation disturbance[J]. Geotechnical Engineering Technique, 2024, 38(5): 624-630. (in Chinese) doi: 10.3969/j.issn.1007-2993.2024.05.019LUO G C, ZHOU Z W, WANG Z C, et al. Mechanical characteristics of slight-expansive soil in Hefei and its effect by saturation disturbance[J]. Geotechnical Engineering Technique, 2024, 38(5): 624-630. (in Chinese) doi: 10.3969/j.issn.1007-2993.2024.05.019 [13] 中华人民共和国住房和城乡建设部. 膨胀土地区建筑技术规范: GB 50112—2013[S]. 北京: 中国建筑工业出版社, 2013. (Ministry of Housing and Urban-Rural Development of the People’s Republic of China. Technical code for building in expansive soil regions: GB 50112—2013[S]. Beijing: China Architecture & Building Press, 2013. (in Chinese)Ministry of Housing and Urban-Rural Development of the People’s Republic of China. Technical code for building in expansive soil regions: GB 50112—2013[S]. Beijing: China Architecture & Building Press, 2013. (in Chinese) [14] 中华人民共和国住房和城乡建设部. 土工试验方法标准: GB/T 50123—2019[S]. 北京: 中国计划出版社, 2019. (Ministry of Housing and Urban-Rural Development of the People’s Republic of China. Standard for geotechnical testing method: GB/T 50123—2019[S]. Beijing: China Planning Press, 2019. (in Chinese)Ministry of Housing and Urban-Rural Development of the People’s Republic of China. Standard for geotechnical testing method: GB/T 50123—2019[S]. Beijing: China Planning Press, 2019. (in Chinese) [15] 师旭超, 韩 阳. 卸荷作用下软黏土回弹吸水试验研究[J]. 岩土力学, 2010, 31(3): 732-736,742. (SHI X C, HAN Y. Water absorption test of soft clay after rebound under unloading[J]. Rock and Soil Mechanics, 2010, 31(3): 732-736,742. (in Chinese) doi: 10.3969/j.issn.1000-7598.2010.03.011SHI X C, HAN Y. Water absorption test of soft clay after rebound under unloading[J]. Rock and Soil Mechanics, 2010, 31(3): 732-736,742. (in Chinese) doi: 10.3969/j.issn.1000-7598.2010.03.011 [16] 潘林有, 胡中雄. 深基坑卸荷回弹问题的研究[J]. 岩土工程学报, 2002, 24(1): 101-104. (PAN L Y, HU Z X. Experimental study on the resilience of pit under unloading[J]. Chinese Journal of Geotechnical Engineering, 2002, 24(1): 101-104. (in Chinese)PAN L Y, HU Z X. Experimental study on the resilience of pit under unloading[J]. Chinese Journal of Geotechnical Engineering, 2002, 24(1): 101-104. (in Chinese) -
下载: