留言板

尊敬的读者、作者、审稿人, 关于本刊的投稿、审稿、编辑和出版的任何问题, 您可以本页添加留言。我们将尽快给您答复。谢谢您的支持!

姓名
邮箱
手机号码
标题
留言内容
验证码

基于多目标优化的同步注浆浆液性能改良研究

姚远 刘维 刘映晶 陈城 梁家馨

姚远, 刘维, 刘映晶, 陈城, 梁家馨. 基于多目标优化的同步注浆浆液性能改良研究[J]. 岩土工程技术, 2026, 40(1): 120-131. doi: 10.20265/j.cnki.issn.1007-2993.2024-0613
引用本文: 姚远, 刘维, 刘映晶, 陈城, 梁家馨. 基于多目标优化的同步注浆浆液性能改良研究[J]. 岩土工程技术, 2026, 40(1): 120-131. doi: 10.20265/j.cnki.issn.1007-2993.2024-0613
YAO Yuan, LIU Wei, LIU Yingjing, CHEN Cheng, LIANG Jiaxin. Performance improvement of shield synchronous grouting slurry based on multi-objective optimization[J]. GEOTECHNICAL ENGINEERING TECHNIQUE, 2026, 40(1): 120-131. doi: 10.20265/j.cnki.issn.1007-2993.2024-0613
Citation: YAO Yuan, LIU Wei, LIU Yingjing, CHEN Cheng, LIANG Jiaxin. Performance improvement of shield synchronous grouting slurry based on multi-objective optimization[J]. GEOTECHNICAL ENGINEERING TECHNIQUE, 2026, 40(1): 120-131. doi: 10.20265/j.cnki.issn.1007-2993.2024-0613

基于多目标优化的同步注浆浆液性能改良研究

doi: 10.20265/j.cnki.issn.1007-2993.2024-0613
基金项目: 国家自然科学基金面上项目(51978430);江苏省自然科学基金面上项目(BK20231318)
详细信息
    作者简介:

    姚 远,男,2000年生,硕士。研究方向:隧道及地下工程。E-mail:2071764988@qq.com

    通讯作者:

    刘 维,男,1985年生,博士,教授。研究方向:岩土工程、隧道工程。E-mail:ggoulmmeng@suda.edu.cn

  • 中图分类号: U455.43

Performance improvement of shield synchronous grouting slurry based on multi-objective optimization

  • 摘要: 针对盾构同步注浆中易发生的浆液稀释、离析等问题,通过分析实际工程案例,确定浆液配比后进行室内试验,采用SPSS及MINITAB分析试验结果,并结合MATLAB开展符合施工要求的浆液配比优化研究。分析表明:浆液水胶比集中在0.6~0.9,胶砂比集中在0.4~1.0,膨水比集中在0.1~0.3,灰粉比集中在0.2~0.6;水胶比对密度和稠度影响较大,膨水比主要影响流动度、泌水率和固结收缩率,灰粉比对凝结时间和强度影响显著;与MATLAB工具箱求解器的fmincon函数相比,改进的多目标遗传算法(NSGA-Ⅱ)优化结果精度更高,经优化得到最优配比:水胶比0.60、胶砂比0.87、膨水比0.25、灰粉比0.60。基于此,对北京12号线某盾构区间施工进行验证分析,结果表明相较于已有方案,基于多目标优化的浆液在地层变形控制上效果更优。

     

  • 图  1  浆液配比分布频次

    Figure  1.  Distribution frequency of grout ratios

    图  2  室内试验流程图

    Figure  2.  Flowchart of indoor test

    图  3  浆液各性能极差分析

    Figure  3.  Analysis of performance deviation in grout

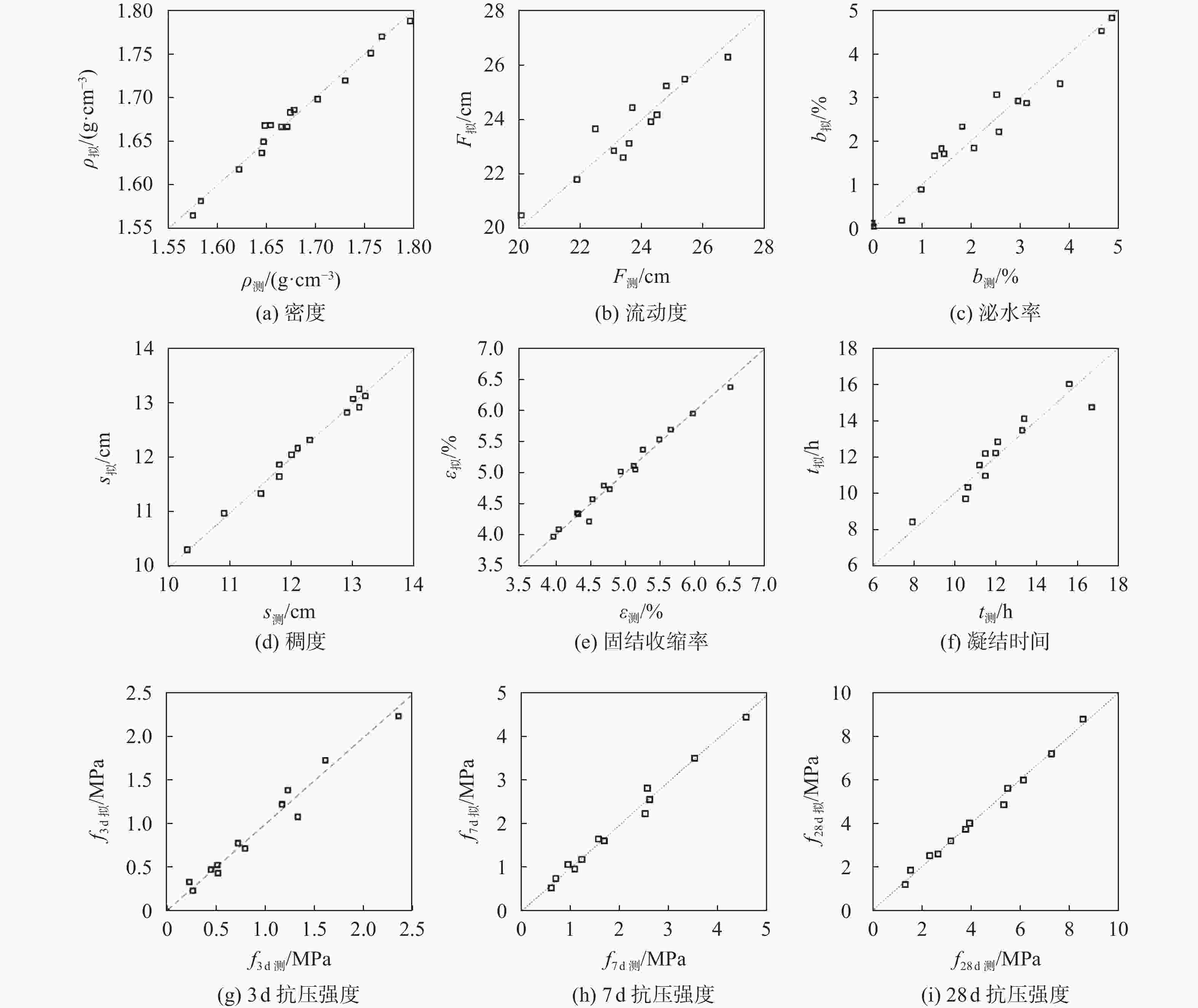
    图  4  浆液各性能的拟合值与测试值

    Figure  4.  Fitted values and test values of grout performance

    图  5  改进NSGA-II算法流程图

    Figure  5.  Flowchart of improved NSGA-II algorithm

    图  6  基于改进NSGA-II算法的目标函数优化曲线

    Figure  6.  Objective function optimization curve based on the improved NSGA-II algorithm

    图  7  盾构隧道区间工程情况

    Figure  7.  Shield tunnel section engineering overview

    图  8  基于修正Peck解的地表沉降对比

    Figure  8.  Comparison of ground surface subsidence based on the modified Peck solution

    图  9  基于Loganathan解的地表沉降对比

    Figure  9.  Comparison of ground surface settlement based on the Loganathan solution

    表  1  正交试验因素水平

    Table  1.   Orthogonal test factor levels

    因子水平ABCD
    10.60.40.10
    20.70.60.150.2
    30.80.80.20.4
    40.91.00.250.6
    下载: 导出CSV

    表  2  浆液原材料性能指标

    Table  2.   Performance indicators of grout raw materials

    材料名称性能指标
    水泥P∙O 42.5普通硅酸盐水泥
    粉煤灰Ⅱ级粉煤灰,含水率≤1.0%
    膨润土钠基膨润土,过200目筛量超95%
    细中砂,含泥量≤3.0%
    城市自来水,pH值7~8
    下载: 导出CSV

    表  3  浆液基本性能试验结果

    Table  3.   Basic performance test results of grout

    浆液编号 密度/(g·cm−3) 流动度/cm 泌水率/% 稠度/cm 固结收缩率/% 凝结时间/h 无侧限抗压强度/MPa
    3 d 7 d 28 d
    1 1.645 23.7 1.42 12.3 5.13
    2 1.730 23.6 2.59 11.8 4.79 11.5 0.50 1.21 3.14
    3 1.767 21.9 1.28 10.9 4.32 10.6 1.22 2.56 6.10
    4 1.796 20.1 0.61 10.3 3.98 7.9 2.34 4.58 8.52
    5 1.654 24.5 2.98 12.9 5.15 11.2 1.32 2.52 5.29
    6 1.678 25.4 2.54 13.1 5.49 10.5 1.60 3.53 7.23
    7 1.648 / 0.03 / 4.06
    8 1.756 23.1 2.08 11.5 4.54 13.3 0.51 1.07 2.28
    9 1.622 24.3 3.15 12.9 4.70 11.5 1.16 2.61 5.46
    10 1.671 23.4 1.84 11.8 4.49 12.1 0.71 1.55 3.74
    11 1.674 * 3.83 13.2 5.97 16.7 0.22 0.68 1.50
    12 1.665 24.8 1.01 12.1 5.26
    13 1.583 22.5 1.47 12.0 4.34 15.6 0.25 0.59 1.28
    14 1.575 / 0.01 / 4.94
    15 1.647 26.8 4.68 13.1 5.65 12.0 0.78 1.67 3.90
    16 1.702 * 4.89 13.0 6.50 13.4 0.44 0.93 2.62
    下载: 导出CSV

    表  4  浆液基本性能极差分析结果

    Table  4.   Results of the basic performance deviation analysis of grout

    性能指标 因素 因素水平 极差R 排秩
    1 2 3 4
    密度A1.731.681.661.630.111
    B1.631.661.681.730.102
    C1.671.671.681.670.014
    D1.631.691.701.690.073
    流动度A22.3224.3324.1724.652.332
    B23.7524.1324.3522.671.683
    C24.5524.9323.1022.002.931
    D24.2523.0723.2724.151.184
    泌水率A1.481.912.462.761.293
    B2.261.742.462.150.714
    C3.172.811.630.992.181
    D0.622.492.752.752.132
    稠度A10.4012.4311.812.772.371
    B11.5511.9712.3311.321.014
    C12.4511.7511.411.131.323
    D9.9511.5712.2512.32.352
    固结收缩率A4.554.815.115.360.802
    B4.834.935.005.070.244
    C5.775.214.634.221.561
    D4.854.915.124.960.273
    凝结时间A10.0011.6713.4313.673.672
    B12.7711.3713.1011.531.734
    C13.5311.5711.8011.871.973
    D14.2811.8210.473.801
    3 d抗压强度A1.351.140.700.490.862
    B0.910.940.741.100.363
    C0.750.870.961.100.354
    D0.370.921.471.101
    7 d抗压强度A2.782.371.611.061.722
    B1.912.101.642.190.563
    C1.711.802.082.240.534
    D0.891.893.102.211
    28 d抗压强度A5.924.933.572.603.322
    B4.014.703.834.470.873
    C3.784.114.614.510.834
    D2.054.446.284.231
    下载: 导出CSV

    表  5  多元回归拟合结果

    Table  5.   Multiple regression fitting results

    变量 回归公式 R2 $ R_{\mathrm{adj}}^2 $
    密度 ρ=1.78−0.349A+0.166B+0.33D−0.408D2 0.979 0.972
    流动度 F=20.73+10.56A−26.25C 0.888 0.863
    泌水率 b=4.01−1.57A−12.28C−4.59D−11.73D2+19.93AD 0.949 0.923
    稠度 s=1.99+30.47A−1.299B−11.058C+0.711D−17.54A2 0.986 0.978
    固结收缩率 ε=2.167+6.171A+4.36C−19.82AC 0.981 0.976
    凝结时间 t=6.42+12.77A−9.5D 0.883 0.856
    3 d抗压强度 f3d=−0.962+1.043A+10.4D−10.2AD 0.967 0.955
    7 d抗压强度 f7d=−1.362+1.48A+19.4D−18.5AD 0.987 0.982
    28 d抗压强度 f28d=1.57−2.06A+27.95D−23.18AD 0.992 0.989
    下载: 导出CSV

    表  6  优化浆液试验结果验证

    Table  6.   Validation of test results of optimized grout

    最优配比来源 项目 密度
    /(g·cm−3)
    流动度/cm 泌水率
    /%
    稠度
    /cm
    固结收缩率/% 凝结时间/h 无侧限抗压强度/MPa
    3 d 7 d 28 d
    fmincon函数 最优配比试验值 1.806 19.9 1.2 11.5 4.43 7.9 2.10 4.31 8.15
    最优配比理论值 1.756 21.3 0.56 10.9 4.21 8.4 2.23 4.51 8.76
    误差率/% 2.77 7.04 53.33 5.22 4.97 6.33 6.19 4.64 7.48
    改进NSGA-II算法 最优配比试验值 1.844 19.5 0.29 10.2 4.11 8.0 2.16 4.36 8.20
    最优配比理论值 1.766 20.5 0.2 10.5 3.99 8.4 2.23 4.51 8.76
    误差率/% 4.23 5.13 31.03 2.94 3.16 5.00 3.24 3.44 6.83
    下载: 导出CSV

    表  7  优化算法对比

    Table  7.   Comparison of optimization algorithms

    验证组 优化方法 A B C D 其余函数求解值 目标函数求解值 更优
    fmincon函数 0.6 0.82 0.25 0.54 ρ=1.766 g/cm3F=20.5 cm,s=10.5 cm,t=9.0 h
    f3d=1.98 MPa,f7d=4.01 MPa,f28d=7.92 MPa,cost=366.2元
    ԑ=3.99%,b=0.52% 改进NSGA-Ⅱ
    改进NSGA-Ⅱ 0.6 0.7 0.25 0.6 ρ=1.738 g/cm3F=20.5 cm,s=10.7 cm,t=8.4 h
    f3d=2.23 MPa,f7d=4.51 MPa,f28d=8.76 MPa,cost=373.6元
    ԑ=3.99%,b=0.20%
    fmincon函数 0.6 0.72 0.19 0.35 ρ=1.755 g/cm3F=22.1 cm,b=1.88%, s=11.2 cm,t=10.8 h
    f3d=1.16 MPa,f7d=2.43 MPa,f28d=5.25 MPa
    ԑ=4.48%,cost=314.6元 改进NSGA-Ⅱ
    改进NSGA-Ⅱ 0.6 0.47 0.21 0.22 ρ=1.701 g/cm3F=21.6 cm,b=1.54%, s=11.2 cm,t=12.0 h
    f3d=0.61 MPa,f7d=1.35 MPa,f28d=3.42 MPa
    ԑ=4.29%,cost=294.6元
    fmincon函数 0.6 0.75 0.19 0.43 ρ=1.761 g/cm3F=22.1 cm,b=1.73%,s=11.2 cm,t=10.0 h
    f3d=1.50 MPa,f7d=3.10 MPa
    ԑ=4.44%,f28d=6.37 MPa,
    cost=335.8元
    改进NSGA-Ⅱ
    改进NSGA-Ⅱ 0.6 0.6 0.19 0.43 ρ=1.736 g/cm3F=22.1 cm,b=1.73%,s=11.4 cm, t=10.0 h
    f3d=1.50 MPa,f7d=3.10 MPa
    ԑ=4.44%,f28d=6.37 MPa,
    cost=335.6元
    fmincon函数 0.6 0.75 0.21 0.43 ρ=1.761 g/cm3F=21.6 cm,s=11.0 cm,t=10.0 h
    f3d=1.50 MPa,f7d=3.10 MPa,f28d=6.37 MPa
    ԑ=4.29%,b=1.49%,
    cost=341元
    改进NSGA-Ⅱ
    改进NSGA-Ⅱ 0.6 0.49 0.24 0.22 ρ=1.704 g/cm3F=21.6 cm,s=11.2 cm,t=12.0 h
    f3d=0.61 MPa,f7d=1.35 MPa,f28d=3.42 MPa
    ԑ=4.06%,b=1.17%,
    cost=302.9元
    下载: 导出CSV

    表  8  关键计算参数取值

    Table  8.   Key calculation parameter values

    浆液ABCDԑ/%g/mR/mφ/(°)Z0/mH/m
    原配比1.210.710.130.837.080.0483.3053221.424.3
    本文最优配比0.600.870.250.603.990.027
    下载: 导出CSV

    1  盾构隧道同步注浆材料配比案例统计

    1.   Case statistics of synchronous grouting material proportioning in shield tunnels

    序号项目名称水泥/kg粉煤灰/kg膨润土/kg砂/kg水/kg粉灰比膨水比水胶比胶砂比
    1武汉长江隧道10031225.58142883.120.090.700.51
    2武汉地铁3号线王家湾站—宗关站120460507603503.830.140.600.76
    3西安地铁4号线15标110395557875123.590.111.010.64
    4莞惠城际轨道交通904501006704005.000.250.740.81
    5狮子洋隧道150430507503442.870.150.590.77
    6哈尔滨地铁2号线一期工程130300302502902.310.100.671.72
    7广佛地铁一期工程9233442142.560.130.650.73
    8郑州轨道交通4号线土建01标1953401068404751.740.220.890.64
    9太原地铁2号线学府街站—长风街站180350607504501.940.130.850.71
    10长沙轨道交通1号线汽车北站—开福区政府站300245657504050.820.160.740.73
    11广州地铁7号线谢村站—钟村站1202002003604001.670.501.250.89
    12常德沅江隧道110280509353202.550.160.820.42
    13成都地铁8号线一期工程2004501508005002.250.300.770.81
    14上海地铁11号线13标100360204002103.600.100.461.15
    15武汉地铁8号线一期工程432226812334015.160.171.510.21
    16深圳地铁10号线华为站—岗头站130300506303802.310.130.880.68
    17沈阳地铁10号线理工大学站—张沙布站170500608004202.940.140.630.84
    18广州地铁2号线越秀公园站—三元里站80421567794635.260.120.920.64
    19沈阳地铁1号线洪湖北街站—重工街站2103158411805801.500.141.100.44
    20深圳地铁9号线9104-3标160314567794461.960.130.940.61
    21南京宁高城际轨道交通禄口新城南站—铜山站1203601207005003.000.241.040.69
    22长沙轨道交通2号线橘子洲站—湘江中路站2103158411802941.500.290.560.44
    23成都地铁2号线东广场站—东洪路站160300657804231.880.150.920.59
    24大连地铁2号线201标140381558204602.720.120.880.64
    25天津轨道交通6号线西站站—河北大街站200380559304601.900.120.790.62
    下载: 导出CSV
  • [1] 《中国公路学报》编辑部. 中国交通隧道工程学术研究综述·2022[J]. 中国公路学报, 2022, 35(4): 1-40. (Editorial Department of China Journal of Highway and Transport. Review on China's traffic tunnel engineering research: 2022[J]. China Journal of Highway and Transport, 2022, 35(4): 1-40. (in Chinese) doi: 10.3969/j.issn.1001-7372.2022.04.001

    Editorial Department of China Journal of Highway and Transport. Review on China's traffic tunnel engineering research: 2022[J]. China Journal of Highway and Transport, 2022, 35(4): 1-40. (in Chinese) doi: 10.3969/j.issn.1001-7372.2022.04.001
    [2] LIU W, LIANG J X, XU T. Tunnelling-induced ground deformation subjected to the behavior of tail grouting materials[J]. Tunnelling and Underground Space Technology, 2023, 140: 105253. doi: 10.1016/j.tust.2023.105253
    [3] 魏广造, 王余德, 李俊青, 等. 合肥地铁盾构施工浆液配比优化试验研究[J]. 西安科技大学学报, 2015, 35(5): 611-616. (WEI G Z, WANG Y D, LI J Q, et al. Synchronous grouting material optimization of the shield construction in Hefei subway[J]. Journal of Xi'an University of Science and Technology, 2015, 35(5): 611-616. (in Chinese)

    WEI G Z, WANG Y D, LI J Q, et al. Synchronous grouting material optimization of the shield construction in Hefei subway[J]. Journal of Xi'an University of Science and Technology, 2015, 35(5): 611-616. (in Chinese)
    [4] 李培楠, 英 旭, 石 来, 等. 基于CFD的盾构同步注浆填充扩散运动力学分析[J]. 地下空间与工程学报, 2021, 17(S1): 126-132. (LI P N, YING X, SHI L, et al. Hydrodynamics analysis on fill diffusion in shield synchronous grouting based on CFD[J]. Chinese Journal of Underground Space and Engineering, 2021, 17(S1): 126-132. (in Chinese)

    LI P N, YING X, SHI L, et al. Hydrodynamics analysis on fill diffusion in shield synchronous grouting based on CFD[J]. Chinese Journal of Underground Space and Engineering, 2021, 17(S1): 126-132. (in Chinese)
    [5] 李 涛, 王颖轶, 黄醒春. 基于冲击映像法盾构同步注浆效果检测与评价[J]. 地下空间与工程学报, 2022, 18(6): 1962-1967,1978. (LI T, WANG Y Y, HUANG X C. Detection and evaluation of shield synchronous grouting effect based on impact image method[J]. Chinese Journal of Underground Space and Engineering, 2022, 18(6): 1962-1967,1978. (in Chinese)

    LI T, WANG Y Y, HUANG X C. Detection and evaluation of shield synchronous grouting effect based on impact image method[J]. Chinese Journal of Underground Space and Engineering, 2022, 18(6): 1962-1967,1978. (in Chinese)
    [6] 梁精华. 盾构隧道壁后注浆材料配比优化及浆体变形特性研究[D]. 南京: 河海大学, 2006. (LIANG J H. Study on the proportion of backfill-grouting materials and grout deformation properties of shield tunnel[D]. Nanjing: Hohai University, 2006. (in Chinese)

    LIANG J H. Study on the proportion of backfill-grouting materials and grout deformation properties of shield tunnel[D]. Nanjing: Hohai University, 2006. (in Chinese)
    [7] 梁小英. 富水地层盾构施工同步注浆材料性能及配合比设计研究[D]. 西安: 长安大学, 2009. (LIANG X Y. Study of material performance and material ratio design in synchronized grouting technology for shield tunneling on watery strata[D]. Xi’an: Chang’an University, 2009. (in Chinese)

    LIANG X Y. Study of material performance and material ratio design in synchronized grouting technology for shield tunneling on watery strata[D]. Xi’an: Chang’an University, 2009. (in Chinese)
    [8] 刘 玮, 谢佳伟, 赖友君, 等. 富水复合砂层大直径盾构掘进同步注浆性能配比试验研究[J]. 铁道标准设计, 2018, 62(4): 141-145. (LIU W, XIE J W, LAI Y J, et al. Experimental study on the optimization of mixture ratio of synchronous grouting for large-diameter shield tunneling in water-rich sandy ground[J]. Railway Standard Design, 2018, 62(4): 141-145. (in Chinese)

    LIU W, XIE J W, LAI Y J, et al. Experimental study on the optimization of mixture ratio of synchronous grouting for large-diameter shield tunneling in water-rich sandy ground[J]. Railway Standard Design, 2018, 62(4): 141-145. (in Chinese)
    [9] 张 箭, 金俊杰, 丰土根, 等. 土压平衡盾构渣土浆液配比优化研究[J]. 岩土工程学报, 2023, 45(4): 748-757. (ZHANG J, JIN J J, FENG T G, et al. Optimization of mixture ratio of muck grout by earth pressure balance shield machine[J]. Chinese Journal of Geotechnical Engineering, 2023, 45(4): 748-757. (in Chinese) doi: 10.11779/CJGE20220024

    ZHANG J, JIN J J, FENG T G, et al. Optimization of mixture ratio of muck grout by earth pressure balance shield machine[J]. Chinese Journal of Geotechnical Engineering, 2023, 45(4): 748-757. (in Chinese) doi: 10.11779/CJGE20220024
    [10] 赵一民. 基于沥青集料粉尘的同步注浆浆液性能及地表沉降控制研究[D]. 济南: 山东大学, 2022. (ZHAO Y M. Research on performance of synchronous grouting slurry and control of surface settlement based on Asphalt Aggregate Dust[D]. Ji’nan: Shandong University, 2022. (in Chinese)

    ZHAO Y M. Research on performance of synchronous grouting slurry and control of surface settlement based on Asphalt Aggregate Dust[D]. Ji’nan: Shandong University, 2022. (in Chinese)
    [11] 李立涛, 高 谦, 杨志强, 等. 矿用充填胶凝材料激发剂配比智能优化决策[J]. 哈尔滨工业大学学报, 2019, 51(10): 137-143. (LI L T, GAO Q, YANG Z Q, et al. Intelligent optimization for the activator proportion of filling cementitions material[J]. Journal of Harbin Institute of Technology, 2019, 51(10): 137-143. (in Chinese) doi: 10.11918/j.issn.0367-6234.201806028

    LI L T, GAO Q, YANG Z Q, et al. Intelligent optimization for the activator proportion of filling cementitions material[J]. Journal of Harbin Institute of Technology, 2019, 51(10): 137-143. (in Chinese) doi: 10.11918/j.issn.0367-6234.201806028
    [12] 韩 斌, 吉 坤, 胡亚飞, 等. ANN-PSO-GA模型在湿喷混凝土强度预测及配合比优化中的应用[J]. 采矿与安全工程学报, 2021, 38(3): 584-591. (HAN B, JI K, HU Y F, et al. Application of ANN-PSO-GA model in UCS prediction and mix proportion optimization of wet shotcrete[J]. Journal of Mining & Safety Engineering, 2021, 38(3): 584-591. (in Chinese)

    HAN B, JI K, HU Y F, et al. Application of ANN-PSO-GA model in UCS prediction and mix proportion optimization of wet shotcrete[J]. Journal of Mining & Safety Engineering, 2021, 38(3): 584-591. (in Chinese)
    [13] 肖文丰, 陈建宏, 陈 毅, 等. 基于神经网络与遗传算法的多目标充填料浆配比优化[J]. 黄金科学技术, 2019, 27(4): 581-588. (XIAO W F, CHEN J H, CHEN Y, et al. Optimization of multi-objective filling slurry ratio based on neural network and genetic algorithm[J]. Gold Science and Technology, 2019, 27(4): 581-588. (in Chinese)

    XIAO W F, CHEN J H, CHEN Y, et al. Optimization of multi-objective filling slurry ratio based on neural network and genetic algorithm[J]. Gold Science and Technology, 2019, 27(4): 581-588. (in Chinese)
    [14] 陈 阳, 刘 文, 刘文黎, 等. 盾构法隧道开挖面稳定性下的多目标优化研究[J]. 科学技术与工程, 2024, 24(18): 7882-7888. (CHEN Y, LIU W, LIU W L, et al. Multi-objective optimization based on the stability of shield tunnel excavation surface[J]. Science Technology and Engineering, 2024, 24(18): 7882-7888. (in Chinese) doi: 10.12404/j.issn.1671-1815.2303494

    CHEN Y, LIU W, LIU W L, et al. Multi-objective optimization based on the stability of shield tunnel excavation surface[J]. Science Technology and Engineering, 2024, 24(18): 7882-7888. (in Chinese) doi: 10.12404/j.issn.1671-1815.2303494
    [15] 吴贤国, 刘 俊, 曹 源, 等. 基于CatBoost-NSGA-Ⅲ算法的盾构姿态预测与优化[J]. 中国安全科学学报, 2024, 34(8): 69-77. (WU X G, LIU J, CAO Y, et al. Shield attitude prediction and optimization based on CatBoost-NSGA-Ⅲ algorithm[J]. China Safety Science Journal, 2024, 34(8): 69-77. (in Chinese)

    WU X G, LIU J, CAO Y, et al. Shield attitude prediction and optimization based on CatBoost-NSGA-Ⅲ algorithm[J]. China Safety Science Journal, 2024, 34(8): 69-77. (in Chinese)
    [16] 任秋兵, 李文伟, 李明超, 等. 水工高性能混凝土配合比多目标智能优化设计与分析方法[J]. 水利学报, 2022, 53(1): 98-108. (REN Q B, LI W W, LI M C, et al. Multi-objective intelligent optimization design and analysis method for mix proportion of hydraulic high performance concrete[J]. Journal of Hydraulic Engineering, 2022, 53(1): 98-108. (in Chinese)

    REN Q B, LI W W, LI M C, et al. Multi-objective intelligent optimization design and analysis method for mix proportion of hydraulic high performance concrete[J]. Journal of Hydraulic Engineering, 2022, 53(1): 98-108. (in Chinese)
    [17] 叶倩琳, 王万良, 王 铮. 多目标粒子群优化算法及其应用研究综述[J]. 浙江大学学报(工学版), 2024, 58(6): 1107-1120,1232. (YE Q L, WANG W L, WANG Z. Survey of multi-objective particle swarm optimization algorithms and their applications[J]. Journal of Zhejiang University (Engineering Science), 2024, 58(6): 1107-1120,1232. (in Chinese)

    YE Q L, WANG W L, WANG Z. Survey of multi-objective particle swarm optimization algorithms and their applications[J]. Journal of Zhejiang University (Engineering Science), 2024, 58(6): 1107-1120,1232. (in Chinese)
    [18] 阮 雷. 高渗透富水地层盾构同步注浆抗水分散机理研究[D]. 成都: 西南交通大学, 2019. (RUAN L. Study on mechanism of synchronous grouting anti-washout property of shield in high permeability water-rich formation[D] Chengdu: Southwest Jiaotong University, 2019. (in Chinese)

    RUAN L. Study on mechanism of synchronous grouting anti-washout property of shield in high permeability water-rich formation[D] Chengdu: Southwest Jiaotong University, 2019. (in Chinese)
    [19] 吴昌胜. 大直径盾构隧道施工引起的地层变形研究[D]. 南京: 东南大学, 2018. (WU C S. Study on the ground deformation induced by large diameter shield tunnelling construction[D]. Nanjing: Southeast University, 2018. (in Chinese)

    WU C S. Study on the ground deformation induced by large diameter shield tunnelling construction[D]. Nanjing: Southeast University, 2018. (in Chinese)
  • 加载中
图(9) / 表(9)
计量
  • 文章访问数:  52
  • HTML全文浏览量:  29
  • PDF下载量:  7
  • 被引次数: 0
出版历程
  • 收稿日期:  2024-12-30
  • 修回日期:  2025-02-10
  • 录用日期:  2025-03-06
  • 刊出日期:  2026-02-06

目录

    /

    返回文章
    返回