留言板

尊敬的读者、作者、审稿人, 关于本刊的投稿、审稿、编辑和出版的任何问题, 您可以本页添加留言。我们将尽快给您答复。谢谢您的支持!

姓名
邮箱
手机号码
标题
留言内容
验证码

考虑热力耦合的单层饱和土体热固结解析解

吴涛 欧阳桥 张云鹏 徐剑波 宋建军 吴文兵

吴涛, 欧阳桥, 张云鹏, 徐剑波, 宋建军, 吴文兵. 考虑热力耦合的单层饱和土体热固结解析解[J]. 岩土工程技术, 2026, 40(2): 165-174. doi: 10.20265/j.cnki.issn.1007-2993.2025-0245
引用本文: 吴涛, 欧阳桥, 张云鹏, 徐剑波, 宋建军, 吴文兵. 考虑热力耦合的单层饱和土体热固结解析解[J]. 岩土工程技术, 2026, 40(2): 165-174. doi: 10.20265/j.cnki.issn.1007-2993.2025-0245
WU Tao, OUYANG Qiao, ZHANG Yunpeng, XU Jianbo, SONG Jianjun, WU Wenbing. Analytical solution for thermal consolidation of single-layered saturated soil considering thermo-mechanical coupling effect[J]. GEOTECHNICAL ENGINEERING TECHNIQUE, 2026, 40(2): 165-174. doi: 10.20265/j.cnki.issn.1007-2993.2025-0245
Citation: WU Tao, OUYANG Qiao, ZHANG Yunpeng, XU Jianbo, SONG Jianjun, WU Wenbing. Analytical solution for thermal consolidation of single-layered saturated soil considering thermo-mechanical coupling effect[J]. GEOTECHNICAL ENGINEERING TECHNIQUE, 2026, 40(2): 165-174. doi: 10.20265/j.cnki.issn.1007-2993.2025-0245

考虑热力耦合的单层饱和土体热固结解析解

doi: 10.20265/j.cnki.issn.1007-2993.2025-0245
基金项目: 国家自然科学基金青年科学基金项目(52408407)
详细信息
    作者简介:

    吴 涛,男,1996年生,博士,工程师,主要从事桩基工程理论与技术研究工作。E-mail:wutao2018@zju.edu.cn

    通讯作者:

    张云鹏,男,1995年生,博士,特任教授,主要从事桩基静动力学理论及实验研究工作。E-mail:zypsky@cug.edu.cn

  • 中图分类号: TU431

Analytical solution for thermal consolidation of single-layered saturated soil considering thermo-mechanical coupling effect

Funds: Supported by the National Natural Science Foundation of China (52408407))
  • 摘要: 基于渗流理论、饱和土体固结理论和热弹性理论,建立了单层线性土体一维热固结模型,采用Laplace变换和其对应的数值逆变换的方法对土体表面作用有瞬时热源的热固结模型进行了解析求解,通过与现有两种标准固结解答的对比,验证了本文解答的准确性。基于所推导的解析解,通过参数分析详细讨论了温度增量、热扩散系数与固结系数比值对土体热固结特性的影响。结果表明:温度增量增大可以促进孔隙水压力的消散,从而促进土体的固结;热扩散系数与固结系数的比值越大,土体热膨胀和固结的速率越快;热应力的存在可以促进孔隙水压力的消散,加快土体固结速率,并通过土体的热膨胀减小土体的最终沉降量。

     

  • 图  1  饱和线性单层土体一维热固结模型示意图

    Figure  1.  Schematic diagram of a one-dimensional thermal consolidation model of saturated linear single-layer soil

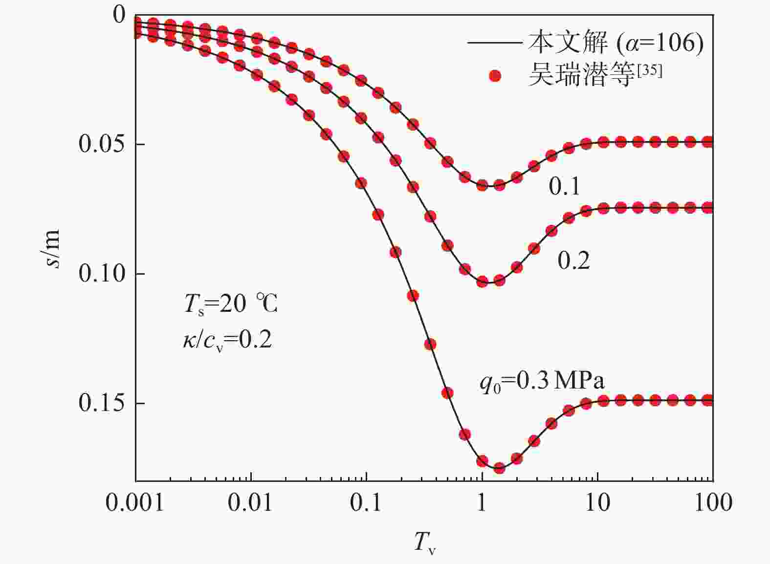
    图  2  不考虑热荷载时超静孔压等时线

    Figure  2.  Isochrones of excess pore water pressure without considering thermal loading

    图  3  考虑热荷载时不同荷载$ {q}_{0} $下的沉降曲线

    Figure  3.  Settlement curve under different load $ {q}_{0} $ when thermal load is considered

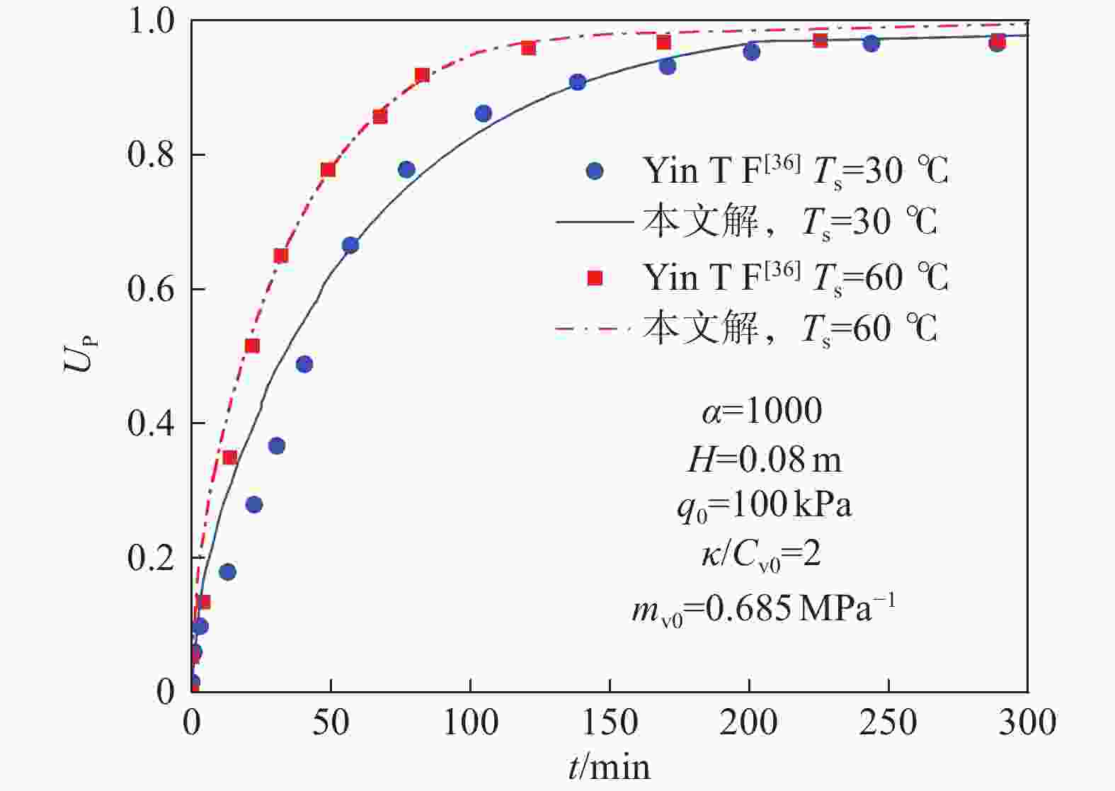
    图  4  本文解与试验结果固结度曲线对比

    Figure  4.  Comparison of the consolidation degree curves between theoretical and experimental results in this paper

    图  5  不同初始温度$ {T}_{0} $对沉降的影响

    Figure  5.  Effect of different initial temperatures $ {T}_{0} $ on sedimentation

    图  6  不同解答下的对比分析曲线图

    Figure  6.  Comparative analysis curves under different solutions

    图  7  温度增量$ {T}_{\mathrm{s}} $对孔压和沉降曲线的影响

    Figure  7.  Effect of temperature increment $ {T}_{\mathrm{s}} $ on pore pressure and settlement curve

    图  8  温度增量$ {T}_{\mathrm{s}} $对固结度曲线的影响

    Figure  8.  Effect of temperature increment $ {T}_{\mathrm{s}} $ on the consolidation curve

    图  9  热参数$ \kappa /{c}_{\mathrm{v}} $值对孔压和沉降曲线的影响

    Figure  9.  Effect of thermal parameter $ \kappa /{c}_{\mathrm{v}} $ on pore pressure and settlement curve

    图  10  热参数$ \kappa /{c}_{\mathrm{v}} $值对固结度曲线的影响

    Figure  10.  Effect of thermal parameter $ \kappa /{c}_{\mathrm{v}} $ value on consolidation curve

    表  1  饱和土层取值参数[34]

    Table  1.   Parameters of saturated soil layer[34]

    名称符号单位取值
    土层厚度Hm10
    变形模量EMPa10
    初始温度T025
    土体泊松比μ0.3
    水重度γwkN∙m−310
    土体热膨胀系数a10−4 /℃2
    土层导热系数KW/m/℃0.02
    体积比热C106J/m3/℃3.552
    下载: 导出CSV

    表  2  计算模型其他参数[35]

    Table  2.   Other calculation model parameters[35]

    名称符号单位取值
    固结系数$ {c}_{\text{v}} $10−7 m2/s4.27
    热扩散系数E10−9 m2/s5.6
    系数A10−3 MPa/℃1.2308
    热荷载系数β10−3 MPa/℃5
    外荷载q0MPa0.2
    界面参数α8
    下载: 导出CSV
  • [1] TERZAGHI K. Erdbaumechanik auf bodenphysikalischer grundlage[M]. Vienna: Deuticke, 1925.
    [2] 王 强, 包秋伟. 天然地基预压法中沉降速率方法分析[J]. 公路交通科技(应用技术版), 2010, 6(4): 100-103. (WANG Q, BAO Q W. Analysis of settlement rate method in natural foundation preloading technique[J]. Highway Traffic Science and Technology (Applied Technology Edition), 2010, 6(4): 100-103. (in Chinese)

    WANG Q, BAO Q W. Analysis of settlement rate method in natural foundation preloading technique[J]. Highway Traffic Science and Technology (Applied Technology Edition), 2010, 6(4): 100-103. (in Chinese)
    [3] 张云鹏, 王宗琴, 宗梦繁, 等. 连续排水边界下成层陆域吹填地基一维固结解析解[J]. 地质科技通报, 2023, 42(3): 38-45. (ZHANG Y P, WANG Z Q, ZONG M F, et al. Analytical solution for one-dimensional consolidation in layered filled soil based on continuous boundary conditions[J]. Bulletin of Geological Science and Technology, 2023, 42(3): 38-45. (in Chinese) doi: 10.19509/j.cnki.dzkq.2022.0171

    ZHANG Y P, WANG Z Q, ZONG M F, et al. Analytical solution for one-dimensional consolidation in layered filled soil based on continuous boundary conditions[J]. Bulletin of Geological Science and Technology, 2023, 42(3): 38-45. (in Chinese) doi: 10.19509/j.cnki.dzkq.2022.0171
    [4] WANG Z Q, ZHANG Y P, WU W B, et al. Semi-numerical analysis of negative skin friction on permeable pile due to consolidation induced by piling[J]. Computers and Geotechnics, 2024, 165: 105891. doi: 10.1016/j.compgeo.2023.105891
    [5] 李西斌, 谢康和. 循环荷载下半透水边界土层一维固结解析解[J]. 岩土力学, 2005, 26(1): 155-159. (LI X B, XIE K H. Theory of 1-D consolidation of soft clayey soil with impeded boundaries under cyclic loading[J]. Rock and Soil Mechanics, 2005, 26(1): 155-159. (in Chinese) doi: 10.3969/j.issn.1000-4750.2004.05.023

    LI X B, XIE K H. Theory of 1-D consolidation of soft clayey soil with impeded boundaries under cyclic loading[J]. Rock and Soil Mechanics, 2005, 26(1): 155-159. (in Chinese) doi: 10.3969/j.issn.1000-4750.2004.05.023
    [6] 曹文贵, 刘若冰, 崔鹏陆, 等. 任意荷载下软土一维大应变非线性固结分析[J]. 湖南大学学报(自然科学版), 2025, 52(7): 141-151. (CAO W G, LIU R B, CUI P L, et al. One-dimensional large strain nonlinear consolidation analysis of soft soil under arbitrary loading[J]. Journal of Hunan University (Natural Sciences), 2025, 52(7): 141-151. (in Chinese) doi: 10.16339/j.cnki.hdxbzkb.2025074

    CAO W G, LIU R B, CUI P L, et al. One-dimensional large strain nonlinear consolidation analysis of soft soil under arbitrary loading[J]. Journal of Hunan University (Natural Sciences), 2025, 52(7): 141-151. (in Chinese) doi: 10.16339/j.cnki.hdxbzkb.2025074
    [7] 孙增春, 陈 萌, 肖 杨, 等. 考虑状态相关的饱和黏土热弹塑性本构模型[J]. 中国科学: 技术科学, 2024, 54(10): 2030-2041. (SUN Z C, CHEN M, XIAO Y, et al. Thermo-elasto-plastic constitutive model of saturated clay considering state-dependent[J]. Scientia Sinica Technologica, 2024, 54(10): 2030-2041. (in Chinese) doi: 10.1360/SST-2023-0279

    SUN Z C, CHEN M, XIAO Y, et al. Thermo-elasto-plastic constitutive model of saturated clay considering state-dependent[J]. Scientia Sinica Technologica, 2024, 54(10): 2030-2041. (in Chinese) doi: 10.1360/SST-2023-0279
    [8] 刘忠玉, 朱少培, 崔鹏陆, 等. 半透水边界下饱和黏土地基的一维黏弹性固结分析[J]. 郑州大学学报(工学版), 2022, 43(5): 71-77. (LIU Z Y, ZHU S P, CUI P L, et al. One-dimensional viscoelastic consolidation analysis of saturated clay layer with semi-permeable boundary[J]. Journal of Zhengzhou University (Engineering Science), 2022, 43(5): 71-77. (in Chinese) doi: 10.13705/j.issn.1671-6833.2022.05.018

    LIU Z Y, ZHU S P, CUI P L, et al. One-dimensional viscoelastic consolidation analysis of saturated clay layer with semi-permeable boundary[J]. Journal of Zhengzhou University (Engineering Science), 2022, 43(5): 71-77. (in Chinese) doi: 10.13705/j.issn.1671-6833.2022.05.018
    [9] 陈 征. 混合型排水边界等效处理方法及其在排水固结问题中的应用[D]. 武汉: 武汉大学, 2021. (CHEN Z. Equivalent treatment of mixed-type drainage boundary and its application in drainage consolidation problem[D]. Wuhan: Wuhan University, 2021. (in Chinese)

    CHEN Z. Equivalent treatment of mixed-type drainage boundary and its application in drainage consolidation problem[D]. Wuhan: Wuhan University, 2021. (in Chinese)
    [10] 邱昌虎, 蒋明杰, 杨伟涛, 等. 连续排水边界双层地基一维固结黏弹性解[J]. 合肥工业大学学报(自然科学版), 2025, 48(2): 260-266. (QIU C H, JIANG M J, YANG W T, et al. Viscoelastic solutions of one-dimensional consolidation for double-layered foundation with continuous drainage boundary[J]. Journal of Hefei University of Technology (Natural Science), 2025, 48(2): 260-266. (in Chinese)

    QIU C H, JIANG M J, YANG W T, et al. Viscoelastic solutions of one-dimensional consolidation for double-layered foundation with continuous drainage boundary[J]. Journal of Hefei University of Technology (Natural Science), 2025, 48(2): 260-266. (in Chinese)
    [11] TESTER J W, BECKERS K F, HAWKINS A J, et al. The evolving role of geothermal energy for decarbonizing the United States[J]. Energy & Environmental Science, 2021, 14(12): 6211-6241.
    [12] 周祥运, 孙德安, 罗 汀. 核废料处置库近场温度半解析研究[J]. 岩土力学, 2020, 41(S1): 246-254. (ZHOU X Y, SUN D A, LUO T. Semi-analytical solution of near-field temperature in nuclear waste disposal repository[J]. Rock and Soil Mechanics, 2020, 41(S1): 246-254. (in Chinese) doi: 10.16285/j.rsm.2019.0965

    ZHOU X Y, SUN D A, LUO T. Semi-analytical solution of near-field temperature in nuclear waste disposal repository[J]. Rock and Soil Mechanics, 2020, 41(S1): 246-254. (in Chinese) doi: 10.16285/j.rsm.2019.0965
    [13] ZHU B, YE Z G, WANG L J, et al. Hydro-mechanical behavior of unsaturated soil surrounding a heated pipeline considering moisture evaporation and condensation[J]. Computers and Geotechnics, 2020, 119: 103377. doi: 10.1016/j.compgeo.2019.103377
    [14] ZHANG L L, ZHANG Y P, TIAN Y, et al. One-dimensional consolidation modeling of soil surrounding buried geothermal pipelines: incorporating heat diffusion processes[J]. Transport in Porous Media, 2024, 151(10/11): 2119-2144.
    [15] PAASWELL R E. Temperature effects on clay soil consolidation[J]. Journal of the Soil Mechanics and Foundations Division, 1967, 93(3): 9-22. doi: 10.1061/JSFEAQ.0000982
    [16] BIOT M A. General theory of three-dimensional consolidation[J]. Journal of Applied Physics, 1941, 12(2): 155-164. doi: 10.1063/1.1712886
    [17] TANG K J, WEN M J, TU Y, et al. Interfacial thermal contact model for consolidation of multilayered saturated soils subjected to time-dependent heating and loading[J]. Journal of Central South University, 2025, 32(6): 2239-2255.
    [18] SONG Z, HAO Y D, LIU H. Analytical study of the thermo-osmosis effect in porothermoelastic responses of saturated porous media under axisymmetric thermal loadings[J]. Computers and Geotechnics, 2020, 123: 103576. doi: 10.1016/j.compgeo.2020.103576
    [19] 韩 涛, 李 阔, 卢萌盟. 温度效应下考虑非达西渗流的大应变软土地基非线性固结分析[J/OL]. 岩土工程学报, 1-12. (2025-07-10)[2025-08-12]. https: //link. cnki. net/urlid/32.1124. TU. 20250709.2121. 011. (HAN T, LI K, LU M M. Nonlinear consolidation analysis of soft soil foundations considering large strain and non-Darcian flow under temperature effects[J/OL]. Chinese Journal of Geotechnical Engineering, 1-12. (2025-07-10)[2025-08-12]. https://link.cnki.net/urlid/32.1124.TU.20250709.2121.011.(in Chinese))

    2025-07-10)[2025-08-12]. https: //link. cnki. net/urlid/32.1124. TU. 20250709.2121. 011. (HAN T, LI K, LU M M. Nonlinear consolidation analysis of soft soil foundations considering large strain and non-Darcian flow under temperature effects[J/OL]. Chinese Journal of Geotechnical Engineering, 1-12. (2025-07-10)[2025-08-12]. https://link.cnki.net/urlid/32.1124.TU.20250709.2121.011.(in Chinese))
    [20] LU M M, SUN J X, LI K. One-dimensional thermal consolidation analysis of saturated clay with variable compressibility and permeability considering partial drainage boundaries[J]. Computers and Geotechnics, 2023, 164: 105806. doi: 10.1016/j.compgeo.2023.105806
    [21] HUA L, TIAN Y, GUI Y, et al. 2D thermal consolidation model for saturated clay considering thermal contraction[J]. International Journal of Mechanical Sciences, 2025, 300: 110449. doi: 10.1016/j.ijmecsci.2025.110449
    [22] LIU Q, DENG Y B, WANG T Y. One-dimensional nonlinear consolidation theory for soft ground considering secondary consolidation and the thermal effect[J]. Computers and Geotechnics, 2018, 104: 22-28. doi: 10.1016/j.compgeo.2018.08.007
    [23] 夏建中, 徐云飞, 尤玉云, 等. 考虑热源下二维渗透各向异性饱和土热固结解析解[J]. 科技通报, 2019, 35(1): 101-107. (XIA J Z, XU Y F, YOU Y Y, et al. Two-dimensional thermal consolidation study with anisotropic permeability under considering heat source[J]. Bulletin of Science and Technology, 2019, 35(1): 101-107. (in Chinese) doi: 10.13774/j.cnki.kjtb.2019.01.019

    XIA J Z, XU Y F, YOU Y Y, et al. Two-dimensional thermal consolidation study with anisotropic permeability under considering heat source[J]. Bulletin of Science and Technology, 2019, 35(1): 101-107. (in Chinese) doi: 10.13774/j.cnki.kjtb.2019.01.019
    [24] JIANG W H, LI J S, GE S Q, et al. Investigation on one-dimensional nonlinear thermal consolidation of saturated clay under the impeded drainage boundary[J]. International Journal of Geomechanics, 2024, 24(1): 04023255.
    [25] BAI B, ZHOU R, YANG G C, et al. The constitutive behavior and dissociation effect of hydrate-bearing sediment within a granular thermodynamic framework[J]. Ocean Engineering, 2023, 268: 113408. doi: 10.1016/j.oceaneng.2022.113408
    [26] BAI B, ZHANG B X, CHEN H J, et al. A novel thermodynamic constitutive model of coarse-grained soils considering the particle breakage[J]. Transportation Geotechnics, 2025, 50: 101462. doi: 10.1016/j.trgeo.2024.101462
    [27] MEI G X, THOMAS M H, XIA J, et al. One-dimensional consolidation with asymmetrical exponential drainage boundary[J]. Geomechanics and Engineering, 2014, 6(1): 47-63. doi: 10.12989/gae.2014.6.1.047
    [28] MEI G X, CHEN Q M. Solution of Terzaghi one-dimensional consolidation equation with general boundary conditions[J]. Journal of Central South University, 2013, 20(8): 2239-2244. doi: 10.1007/s11771-013-1730-5
    [29] 宗梦繁, 吴文兵, 梅国雄, 等. 连续排水边界条件下土体一维非线性固结解析解[J]. 岩石力学与工程学报, 2018, 37(12): 2829-2838. (ZONG M F, WU W B, MEI G X, et al. An analytical solution for one-dimensional nonlinear consolidation of soils with continuous drainage boundary[J]. Chinese Journal of Rock Mechanics and Engineering, 2018, 37(12): 2829-2838. (in Chinese) doi: 10.13722/j.cnki.jrme.2018.0602

    ZONG M F, WU W B, MEI G X, et al. An analytical solution for one-dimensional nonlinear consolidation of soils with continuous drainage boundary[J]. Chinese Journal of Rock Mechanics and Engineering, 2018, 37(12): 2829-2838. (in Chinese) doi: 10.13722/j.cnki.jrme.2018.0602
    [30] SUN M, ZONG M F, MA S J, et al. Analytical solution for one-dimensional consolidation of soil with exponentially time-growing drainage boundary under a Ramp Load[J]. Mathematical Problems in Engineering, 2018, 2018: 9385615.
    [31] BOOKER J R, SAVVIDOU C. Consolidation around a spherical heat source[J]. International Journal of Solids and Structures, 1984, 20(11/12): 1079-1090.
    [32] 白 冰. 饱和土体圆柱形热源热固结问题的一个近似解[J]. 岩石力学与工程学报, 2005, 24(6): 1004-1009. (BAI B. Approximate solution of thermal consolidation of cylindrical heat source with infinite length for saturated soils[J]. Chinese Journal of Rock Mechanics and Engineering, 2005, 24(6): 1004-1009. (in Chinese) doi: 10.3321/j.issn:1000-6915.2005.06.018

    BAI B. Approximate solution of thermal consolidation of cylindrical heat source with infinite length for saturated soils[J]. Chinese Journal of Rock Mechanics and Engineering, 2005, 24(6): 1004-1009. (in Chinese) doi: 10.3321/j.issn:1000-6915.2005.06.018
    [33] CRUMP K S. Numerical inversion of Laplace transforms using a Fourier series approximation[J]. Journal of the ACM, 1976, 23(1): 89-96. doi: 10.1145/321921.321931
    [34] 冯健雪, 陈 征, 李勇义, 等. 连续排水边界条件下线性加载地基一维固结解析解[J]. 工程力学, 2019, 36(6): 219-226. (FENG J X, CEHN Z, LI Y Y, et al. Analytical solution for one-dimensional consolidation of soft clayey soil with a continuous drainage boundary under linear loading[J]. Engineering Mechanics, 2019, 36(6): 219-226. (in Chinese) doi: 10.6052/j.issn.1000-4750.2018.05.0294

    FENG J X, CEHN Z, LI Y Y, et al. Analytical solution for one-dimensional consolidation of soft clayey soil with a continuous drainage boundary under linear loading[J]. Engineering Mechanics, 2019, 36(6): 219-226. (in Chinese) doi: 10.6052/j.issn.1000-4750.2018.05.0294
    [35] 吴瑞潜, 谢康和, 程永锋. 变荷载下饱和土一维热固结解析理论[J]. 浙江大学学报(工学版), 2009, 43(8): 1532-1537. (WU R Q, XIE K H, CHENG Y F. Analytical theory for one-dimensional thermal consolidation of saturated soil under time-dependent loading[J]. Journal of Zhejiang University (Engineering Science), 2009, 43(8): 1532-1537. (in Chinese) doi: 10.3785/j.issn.1008-973X.2009.08.033

    WU R Q, XIE K H, CHENG Y F. Analytical theory for one-dimensional thermal consolidation of saturated soil under time-dependent loading[J]. Journal of Zhejiang University (Engineering Science), 2009, 43(8): 1532-1537. (in Chinese) doi: 10.3785/j.issn.1008-973X.2009.08.033
    [36] YIN T F. Theoretical and experimental studies on thermal consolidations characteristics of Ningbo soft clay[J]. Applied Mechanics and Materials, 2014, 501-504: 141-149.
  • 加载中
图(10) / 表(2)
计量
  • 文章访问数:  11
  • HTML全文浏览量:  3
  • PDF下载量:  2
  • 被引次数: 0
出版历程
  • 收稿日期:  2025-06-04
  • 修回日期:  2025-08-12
  • 录用日期:  2025-08-25
  • 网络出版日期:  2026-04-09
  • 刊出日期:  2026-04-09

目录

    /

    返回文章
    返回