Current Issue

2025 Vol. 39, No. 6

Cover
2025, 39(6)
Abstract:
Contents
2025, 39(6): 1-3.
Abstract:
Review and Prospect
Characteristics and practice of marine new energy geotechnical engineering under the carbon peaking and carbon neutrality goals
Shan Zhigang, Sun Miaojun, Zhou Bohan, Hu Shijun, Zhang Yan
2025, 39(6): 791-800. doi: 10.20265/j.cnki.issn.1007-2993.2024-0500
Abstract:
The complex marine environment and geological conditions make it difficult to implement and evaluate geotechnical engineering exploration and testing for offshore wind power. This study aims to address the main problems existing in current offshore wind power investigation, based on a large number of practices in offshore wind power geotechnical engineering investigation, systematically sorts out the countermeasures from three aspects: offshore geotechnical engineering exploration equipment, offshore precise detection and in-situ testing technologies, and the construction of offshore geotechnical engineering investigation and evaluation system. In terms of exploration equipment, it covers jack-up platforms for different water depths (e.g., the 75 m-class "Huadong Institute 308" with a maximum water depth of 80 m), comprehensive investigation vessels, wave-compensated casing systems (with a compensation range of 1.5~2.0 m and a maximum drilling depth of 1500 m), and a series of sampling devices. In terms of technologies, precision positioning (with a mean error of plane and elevation of ≤5 cm and 10 cm, respectively), comprehensive geophysical prospecting combination methods, and improved in-situ testing technologies have been developed. The evaluation system includes the evaluation of unfavorable geology and the division of 4 types of seismic zones, and proposes a parameter selection technology based on CPTU. These achievements have been applied to nearly 100 wind farms, covering 70% of the national grid-connected capacity, supporting the construction of over 4,000 marine foundations and other structures, and formulating multiple national standards, thus providing technical support for offshore wind power projects.
Research progress on the application of anti-slide pile structure damage and reinforcement technology
Zhang Yi, Xiao Chengjing
2025, 39(6): 801-807. doi: 10.20265/j.cnki.issn.1007-2993.2024-0449
Abstract:
Due to overloaded service, material aging, environmental erosion, and other reasons, anti-slide pile structures may experience failure. Currently, there is limited research and application of in-situ reinforcement techniques for damaged anti-slide piles, and the development of new reinforcement technologies is urgently needed. This paper analyzes the stress and damage characteristics of anti-slide pile structures by summarizing existing research and application cases, and generalizes the load-bearing characteristics and damage modes of anti-slide piles. A systematic summary of the reinforcement methods for anti-slide piles was conducted in light of actual engineering conditions. The application of numerical simulation methods in the field of anti-slide pile research was summarized, and the feasibility of using numerical simulation methods for in-situ reinforcement and stabilization of anti-slide piles was analyzed. The research findings indicate that grouting within the pile body combined with rebar planting and increasing the pile diameter, are reliable in-situ reinforcement techniques. Numerical analysis methods can effectively simulate the in-situ reinforcement process of damaged anti-slide piles. These conclusions offer guidance for the numerical simulation research of in-situ reinforcement for damaged anti-slide piles and provide a reference for the development of in-situ reinforcement technologies.
Technology Development and Innovation
Comprehensive evaluation of water resources carrying capacity in Chengde area
Jing Zhihua, Liu Wenbo, Zhang Mingyu, Yang Rui, Wang Peng
2025, 39(6): 808-815. doi: 10.20265/j.cnki.issn.1007-2993.2024-0458
Abstract:
As a critical water conservation area and ecological barrier in the Beijing-Tianjin-Hebei region, the water resources carrying capacity (WRCC) of Chengde is vital for regional sustainable development and ecological security. This study proposed a three-factor evaluation model (water supply ratio, nitrogen pollution load, and groundwater level variation) based on monitoring data of water supply-demand relationships, water quality, and groundwater dynamics in Chengde. The analytic hierarchy process (AHP) was applied to determine indicator weights, and the spatial heterogeneity of WRCC across 43 small watersheds was systematically evaluated. Results demonstrate that watersheds around Chengde City, Chengde County, and Longhua County exhibited relatively low WRCC due to high agricultural water use (62%), partial nitrogen load accumulation, and groundwater over-extraction pressure (annual decline >0.5 m). In contrast, northern regions such as Weichang County and Fengning County showed higher WRCC owing to sufficient water supply, stable water quality, and minimal groundwater level fluctuations. The study highlighted the combined effects of urbanization and agricultural practices on WRCC and proposed strategies, including zoning management, monitoring system refinement, and inter-regional coordination to enhance water resource governance. This method provides a scientific foundation for sustainable water resource utilization in medium- and small-scale regions.
A rapid analysis method for needle-shaped and flake particles of pea gravel based on image processing
Chang Yong, Liu Ziqian, Liu Haitao, Yang Jun, Li Jianjian, Feng Qiang, Wang Hongbo
2025, 39(6): 816-822. doi: 10.20265/j.cnki.issn.1007-2993.2024-0510
Abstract:
Image processing technology allows for the determination of needle-shaped and flake particle content in pea gravel. However, when collecting the thickness information of pea gravel, the traditional collection method can only collect the pea gravel placed on the plane line by line many times. Aimed at the problem of low detection efficiency and unable to evaluate it quickly caused by the inconvenience of this acquisition method, a stepped placement strategy was designed, which took two photos from different angles, combined with IPP software (Image Pro Plus), to efficiently obtain the key size information of the gravel, and eliminate the error caused by the different distance between the gravel and the camera through the correction coefficient. The needle and flake content of pea gravel particles was measured by image processing software and compared with the traditional vernier caliper method. The results show that: (1) The step layout design can quickly obtain the size information of pea gravel, and after the coefficient correction, the information is more authentic and effective, which improves the overall detection efficiency; (2) The error of needle flake particle content obtained by IPP software is controlled within the allowable range.
Wall stabilization and collapse prevention technology for geothermal drilling in shale formations in Zhuhu area
Liu Zhouhui
2025, 39(6): 823-829. doi: 10.20265/j.cnki.issn.1007-2993.2024-0420
Abstract:
There is a significant activity difference between the geothermal drilling shale formation in the Zhuhu area and the on-site drilling fluid. The on-site drilling fluid exhibits moderate dispersibility and fails to effectively inhibit pressure transmission, resulting in poor sealing performance and serious collapse of the drilling wellbore. To solve this problem, an optimization of the on-site drilling fluid system was proposed, and an anti-collapsing drilling fluid was prepared. The drilling fluid is composed of saline water + 4% bentonite + 1% PAM+2% STQ + 1% SPKY + 1% multi-element sealing agent (2% concentration ZT-1 + 3% concentration GX-1 + 2% concentration NQ) + 1% amino polyol, which has reasonable rheological properties and can effectively inhibit the hydration expansion and dispersion of shale. It can effectively inhibit the transmission of upstream pressure to downstream, with good plugging performance, as well as good lubrication performance and resistance to drilling debris pollution. Through on-site application, it has been proven that the use of this anti-collapsing drilling fluid has prevented serious collapse and instability. At the same drilling depth, the drilling construction period has been saved 11 days, and it has achieved good wall stabilization and anti-collapsing effects.
Engineering Practice and Application
Analyse on seismic performance of complex underground space structure under rare earthquakes
Ding Jingze, Ye Jiaqiang
2025, 39(6): 830-837. doi: 10.20265/j.cnki.issn.1007-2993.2024-0364
Abstract:
The seismic design of underground structures is still dominated by two-dimensional model calculation, but for complex underground space structures, it is hard to reflect the real characteristics of the structure, and it may have certain errors in the calculation. The three-dimensional dynamic time history analysis method can calculate the deformation and internal force state of the structure at each time in seismic response, and provide a more realistic dynamic characteristic of the response structure. The key modeling processes, such as viscoelastic boundary conditions, the input of ground motion parameters method, and structural damage evaluation indicators, were summarized. Taking the underground space structure of the financial island supporting municipal engineering in Xiong’an New Area as an example, and the seismic performance of the underground space of the financial island under the action of a rare (E3) earthquake was analyzed by GFE finite element analysis software. The results show that the elastic-plastic interlayer displacement angle index of the structure under rare earthquake meets the requirements of the code limit of 1/250, and the main structure has not suffered extensive damage, only the vertical components in weak parts, such as local floor openings, are damaged. It provides a reference for similar engineering designs.
Comprehensive survey technology for bridge pile foundation in pebble karst area
Guo Yin, Zhang Yong, Lin Chenghao, Ding Huaxiang, Cui Guangpo
2025, 39(6): 838-845. doi: 10.20265/j.cnki.issn.1007-2993.2024-0354
Abstract:
In highly developed pebble karst strata, there are problems such as low drilling efficiency, severe mud leakage, unstable hole walls that are prone to collapse, low rock core recovery percent during bridge pile foundation survey and construction. Moreover, drilling alone cannot accurately determine the spatial distribution of karst, which has a significant impact on engineering design. This article relies on a bridge pile foundation survey project, using a fully hydraulic drilling rig to combine multi-stage steel casing wall protection, SM plant rubber wall protection, down-the-hole hammer eccentric follow-up drilling, diamond rope coring, semi-closed action double tube coring, and other technologies for drilling and coring. The high-density electrical method was used to preliminarily delineate the development range of karst, and the cross-hole seismic wave CT method was used to further investigate the distribution of karst between boreholes. The tube wave method was used to detect each pile one by one, providing a reliable bearing layer for bridge pile foundations, forming a comprehensive survey technology that can be promoted and applied in similar geological surveys.
Safety impact of backfill high slope on adjacent viaduct pier and roadbed in gully area
Wang Yanzeng, Li Yangqiu, Bu Sicong, Wang Fan
2025, 39(6): 846-853. doi: 10.20265/j.cnki.issn.1007-2993.2024-0385
Abstract:
A construction site featuring a gully required backfilling. The backfill area was adjacent to an urban expressway overpass. Finite element simulation was employed to analyze the area on the influence of the bedrock surface trend, fill height, and filling range in the gully area on the displacement of the bridge pier and subgrade, thereby guiding the fill design. The analysis results indicate that: in areas with a gentle geotechnical interface, vertical displacement during the backfilling process was primarily concentrated within the backfill area, with minimal impact on the vertical displacement of the soil in the pier area. When the backfill elevation did not exceed the embankment elevation, the backfill had little effect on the horizontal displacement of the embankment and pier. However, once the backfill elevation surpassed the embankment elevation, the horizontal displacement of the embankment and pier increased sharply, exceeding the bridge displacement control standards. The affected area was mainly concentrated within a range of 1.0 to 1.5 times the backfill height. In areas with a steep geotechnical interface, the fill generated a component force along the geotechnical interface, resulting in biased pressure on both sides of the pile. This caused a differential deformation of the soil, either squeezing or moving away from the pile foundation, leading to uneven ground settlement. Considering the geological conditions of the pier and subgrade, site land use, overall building layout, and the influence range of the backfill, an overhead structural treatment was adopted for areas with a steep geotechnical interface. For areas with a gentle geotechnical interface, a comprehensive treatment scheme combining a setback distance at the backfill boundary and a reduction in the backfill elevation was implemented. This approach achieved favorable economic outcomes, and post-construction monitoring indicated that subgrade and bridge deformations were within normal and controllable limits.
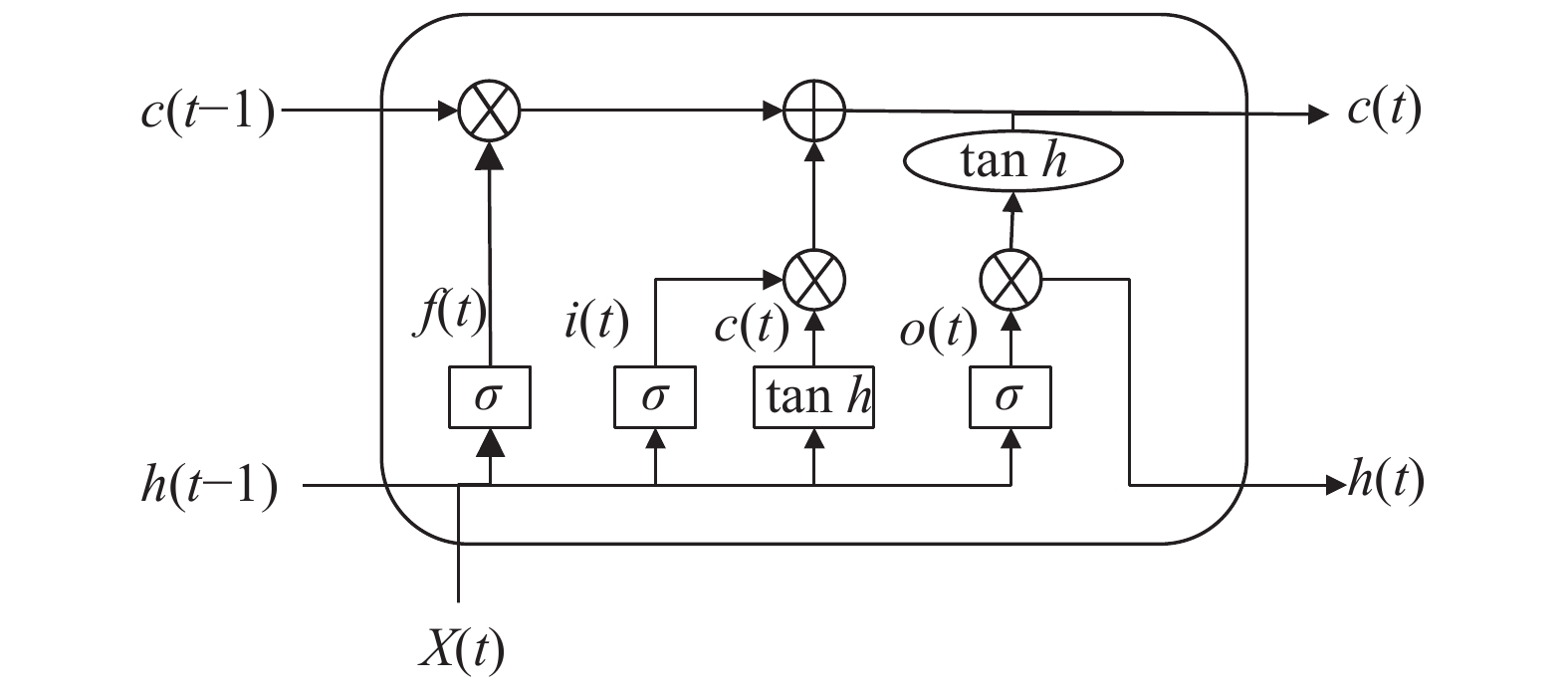
Prediction and analysis of foundation pit support deformation for ultra-large dock chambers based on CNN-LSTM-Attention model
Yan Ruihai
2025, 39(6): 854-864. doi: 10.20265/j.cnki.issn.1007-2993.2024-0463
Abstract:
The foundation pit of an ultra-large dock chamber adopts the anchor type composite steel sheet pile retaining system. To study the deformation law of foundation pit, the settlement, horizontal displacement and stress of retaining structures such as dock wall bearing platform, composite steel sheet pile and anchor wall were monitored, and their change trend, causes and temporal and spatial correlation were analyzed. The results show that the top settlement and horizontal displacement of the retaining structure and the deep horizontal displacement of the composite steel sheet pile are large in the excavation process due to the influence of soft soil characteristics and precipitation, and the data change of each monitoring item has a strong spatio-temporal correlation effect. A CNN-LSTM-Attention combined neural network model which can extract the key features of monitoring time series data is established. The monitoring data of different monitoring items are taken as the model input, and the predicted values are output through CNN neural network convolution operation, LSTM neural network regression prediction, Attention weight distribution, full connection layer and other operations, and compared with the measured data. According to the experimental results, the combined model of CNN-LSTM-Attention with attention mechanism has higher prediction accuracy than LSTM model and BiLSTM model. In the prediction of adjacent monitoring points, the model has good applicability, which verifies that the change trend of monitoring points’ data has strong spatial correlation.
MJS reinforcement of foundation pits adjacent to existing stations and settlement analysis of surrounding buildings
Bu Lele, Liu Yangfan, Lai Liang, Qiu Yuhua, Shen Wenming, Huang Tianzhi, Liu Wei
2025, 39(6): 865-873. doi: 10.20265/j.cnki.issn.1007-2993.2024-0186
Abstract:
During the construction of the transfer node at Waitan Bridge Station on Line 7 of Ningbo Rail Transit, it was recognized that the proximity of the new building to the existing Line 2 station, within a complex environment characterized by soft soil layers, posed a risk of excessive deformation to both the project structure and surrounding buildings. To address this concern, the MJS construction method was employed to reinforce the soil on the west side of the existing station, while closely monitoring nearby buildings. The monitoring results revealed an overall increase in settlement of surrounding buildings, with maximum settlement occurring primarily in corner areas within the influence range of foundation pit. Prior to excavation, deformation on the east side of the foundation pit—strengthened by MJS—was effectively controlled within −2 ~ 4 mm; meanwhile, deformation on its west side ranged from −5 ~ 7 mm. Post-excavation, deformations on both sides were managed within −6 ~ 4 mm. In comparison with pre-excavation increments in deformation levels around foundation pit—which remained significantly lower than a monitored control value set at 25 mm—it is evident that implementation of MJS construction method has effectively mitigated structural deformations in surrounding buildings and enhanced safety during foundation pit excavation. These findings can offer valuable insights for similar projects moving forward.
Stratum disturbance of rectangular pipe-jacking in shallow strata under adverse jacking attitude
Zhang Zhen, Liu Xingshuai, Yang Yifan, Yan Qixiang, Huang Jie
2025, 39(6): 874-884. doi: 10.20265/j.cnki.issn.1007-2993.2024-0379
Abstract:
Pipe-jacking has been widely used in the construction of underground projects such as utility tunnels and underpass tunnels. Due to uneven strata and improper setting of jacking force, adverse jacking attitude is easy to occur in the process of pipe-jacking. To study the stratum disturbance of pipe-jacking in shallow strata under adverse jacking attitude, based on the project of Chengdu Ziyuan Avenue utility tunnel underpass expressway, three-dimensional finite element analysis models considering four kinds of adverse jacking conditions, i.e. tunnel face bias, horizontal offset axis, vertical offset axis and machine head torsion, were established respectively. The following conclusions were obtained: (1) the influence of tunnel face bias jacking on surface settlement displacement was not obvious, the lateral displacement of the left side in front of the excavation face was slightly larger than that of the right side, while the longitudinal displacement of the left side was slightly smaller than that of the right side; (2) In case of horizontal deviation, the displacement of monitoring points ① and ③ deviates from the axis before the tunnel face passes through, and faces the axis after the tunnel face passes through; (3) When the vertical downward displacement occurs during the jacking, the ground subsidence behind the tunnel face will increase significantly compared with the normal jacking, while the ground uplift in front of the tunnel face is smaller; (4) When the machine head torsion occurs during jacking, the lateral displacement of the left side of the ground behind the face is less than that of the right side, but the settlement displacement is greater than that of the right side.
Application of concentrated energy interval charging blasting in peripheral hole for controlling over and under-excavation in soft rock tunnels
Peng Shiming, Xu Shunxiang, Wang Wei, Dong Qian, Sun Yong
2025, 39(6): 885-888. doi: 10.20265/j.cnki.issn.1007-2993.2024-0413
Abstract:
To address the issues of severe over-excavation and under-excavation, complex operation, and high cost in smooth blasting of surrounding holes in soft rock tunnels, a concentrated energy interval charging technology for surrounding holes was proposed. The principle of this technology is to use the high-temperature, high-pressure, and high-energy-density axial metal cumulative jet generated by the interval charging cumulative blasting device between the charge and surrounding holes to detonate the interval charges. Three charging structures of interval charges were designed on-site, and blasting experiments were conducted. Through a comprehensive evaluation of blasting effects and construction efficiency, the blasting scheme with a charge interval of 45 cm was determined to be adopted. Compared with the original scheme, the optimized scheme using the concentrated energy interval charging technology for surrounding holes reduces over-excavation and under-excavation by 41.77%, increases the semi-eye retention rate by 9.47%, and simultaneously reduces the usage of shotcrete and detonating cords. It effectively simplifies the operation difficulty of charging surrounding holes and reduces costs, achieving good surrounding hole blasting effects and economic benefits.
Load variation characteristics of cutterhead load during shield disc cutter cutting a reinforced concrete diaphragm wall
Ma Xuejun, Yu Hang, Wang Tao, Chen Lei, Lan Penghui
2025, 39(6): 889-897. doi: 10.20265/j.cnki.issn.1007-2993.2024-0195
Abstract:
Based on the shield tunneling through the reinforced concrete diaphragm wall at the Times Square Station of Suzhou Rail Transit Line 8, numerical simulation and theoretical analysis were carried out to investigate the cutter and cutterhead load of the disc cutter cutting the reinforced concrete diaphragm wall and the characteristics of the shield thrust and torque based on the actual engineering systems. The study revealed that the crushing form of the disc cutter on the reinforced concrete is a jumping type, and the cutting force curve can be divided into four stages. The thrust and torque of the shield cutter mainly depend on the driving speed after cutting the reinforced concrete diaphragm wall, and are proportional to the contact area with the reinforced concrete. During the cutting process, the thrust and torque will fluctuate greatly when the driving speed fluctuates significantly. By developing a cutter load calculation program, the theoretical values and variation patterns of the cutter thrust and torque were obtained, which are consistent with the change in the number of rolling cutters cutting the reinforced concrete diaphragm wall.
Experimental Research
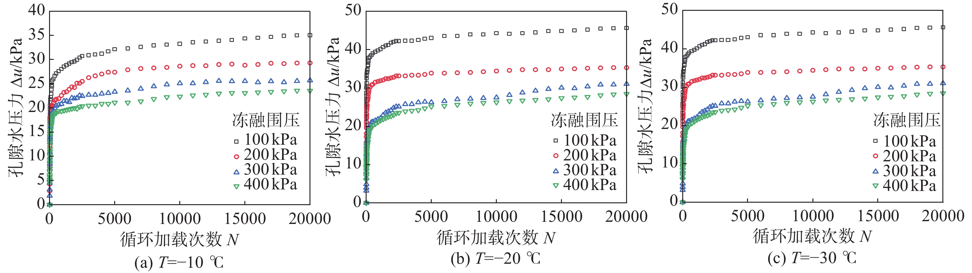
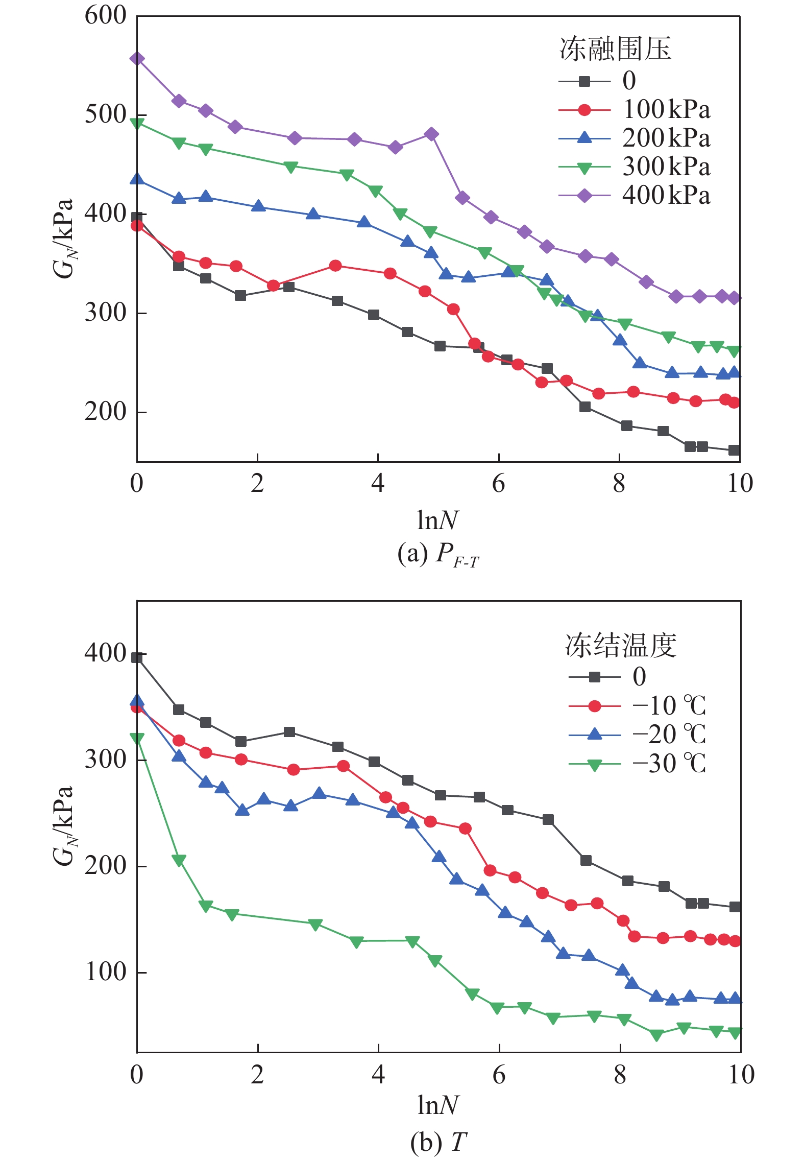
Pore pressure development of freeze-thaw soft soil under cyclic loading
Xu Chao, Wang Longquan, Chen Feng, Xiao Dandan, Huang Zikai, Tang Xiaodong, Zhang Junhan
2025, 39(6): 898-906. doi: 10.20265/j.cnki.issn.1007-2993.2024-0334
Abstract:
Artificial freezing method is widely used in subway tunnel engineering because of its low cost and high safety. The mechanical properties of soft soil will change after freezing and thawing. The development of axial cumulative strain, stiffness and pore water pressure of frozen and thawed soft soil under different freezing temperatures and freezing and thawing confining pressure PF-T was studied through dynamic triaxial tests, and the dynamic pore water pressure prediction model of frozen and thawed soft soil under cyclic loading was established on the basis of quadratic logarithmic model. Based on the nuclear magnetic resonance test, the influence tf PF-T on the pore distribution of frozen-thawed soil samples was studied. The research results show that: the internal structure of the soil sample was balanced under the action of PF-T, and the restraining effect of PF-T on the deformation of the soil sample gradually decreases with the increase of PF-T; the lower the freezing temperature, the more obvious the frost heave effect of soil; with the increase of freezing and thawing confining pressure, the stiffness softening degree of soil samples gradually weakens; during the freezing and thawing process of soil samples, the increase of PF-T promotes the compaction of damaged skeleton in soil. After the first freeze-thaw, the mechanical properties of soil have the greatest attenuation, and after the second and third freeze-thaw, the existing structural damage area will be aggravated and new structural damage will be brought. In the process of freezing and thawing, the larger PF-T was applied, the more unfrozen water is, the less frost heaving is, and the more compact the skeleton structure is. The research results can provide theoretical basis for predicting the development of pore pressure of frozen-thawed soft soil under cyclic loading.
Experimental study on influence of dry density and temperature on uniaxial compression characteristics of frozen sand
Kuang Yan, Zhang Chaochao, Zhu Bitang
2025, 39(6): 907-914. doi: 10.20265/j.cnki.issn.1007-2993.2024-0446
Abstract:
Sandy soil specimens obtained from the East Extension Project of Nanchang Metro Line 2 underwent uniaxial compression testing to systematically investigate the effects of relative density and freezing temperature on failure modes, stress-strain relationships, uniaxial compressive strength, and elastic modulus of frozen sand. The investigation revealed that frozen sand under uniaxial compression predominantly exhibits failure modes characterized by plastic shear failure and plastic splitting failure, with stress-strain curves displaying notable strain-softening behavior. An increase in compaction degree coupled with a decrease in freezing temperature markedly enhances the brittle characteristics observed in specimen failure. The uniaxial compressive strength and elastic modulus of frozen sand exhibit a significant increase in response to higher compaction degrees and lower freezing temperatures. As compaction degree rises, the sensitivity of sand to temperature fluctuations correspondingly intensifies. Through regression analysis, a relationship equation was formulated between uniaxial compressive strength and elastic modulus as functions of compaction degree and temperature. Based on the experimental data, a mathematical model was developed to characterize the stress-strain behavior of frozen sand, with its validity substantiated through comparison with experimental results.
Drilling technology and experiment of small aperture anchor cable in weak-broken rock
Wang Rui, Yan Hao, Chen Ruiqi, Yu Jiawu, Xiao Wenhui
2025, 39(6): 915-921. doi: 10.20265/j.cnki.issn.1007-2993.2024-0408
Abstract:
How to efficiently drill deep anchor hole is a key factor that restricts the application of small aperture prestressed anchor cable system in weak-broken rock. Taking the Muzhailing Highway Tunnel as an example, based on the analysis of key drilling parameters, suitable bolt drilling rig and PDC drilling bit was selected to conduct research on the drilling technology of small aperture anchor cable. The main conclusions are as follows: The selection method of bolt drilling rig based on key parameters such as rotational speed n, shaft thrust F and torque M can effectively realize the reasonable selection of bolt drilling rig. The back rake angle is a key factor affecting the drilling efficiency and service life of PDC drilling tool, and the design should be based on 20°. Properly reducing the back rake angle of PDC drilling bit is helpful to improve the drilling efficiency, and with the decrease of rock strength and the increase of drilling depth, the improvement effect is more and more obvious, but there is a decrease in the service life of PDC drilling bit. The research results are helpful to improve the construction efficiency of small aperture prestressed anchor cable.
Mechanical test and application of improved waste mud solidified body
Hu Jia, Du Ye, Liu Yongchao, Zhang Qian, Li Bingbing, Wang Hao, Wang Kang, Yao Yixuan
2025, 39(6): 922-929. doi: 10.20265/j.cnki.issn.1007-2993.2024-0470
Abstract:
The effective disposal of waste mud has become a key issue in engineering construction and environmental protection. Based on the concept of waste mud recycling, this paper takes out the waste mud in the actual project and measures its parameters, and then mixes a fixed proportion of bentonite, fly ash and cement for solidification and improvement to prepare paste slurry. Nine groups of tests were carried out by orthogonal design to analyze the influencing factors and significance of unconfined compressive strength at different ages. The test shows that the unconfined compressive strength of the sample increases with the increase of the curing age, and the slurry ratio has the most significant effect on the unconfined compressive strength of the sample at different curing ages. The significance order of the influence of each factor on the unconfined compressive strength at 3 d and 28 d is slurry ratio, fly ash, bentonite; the significance order of the influence of each factor on the unconfined compressive strength at 7 d and 14 d is slurry ratio, bentonite, fly ash. The research results have certain reference significance for the application of paste slurry as building materials in practical engineering.
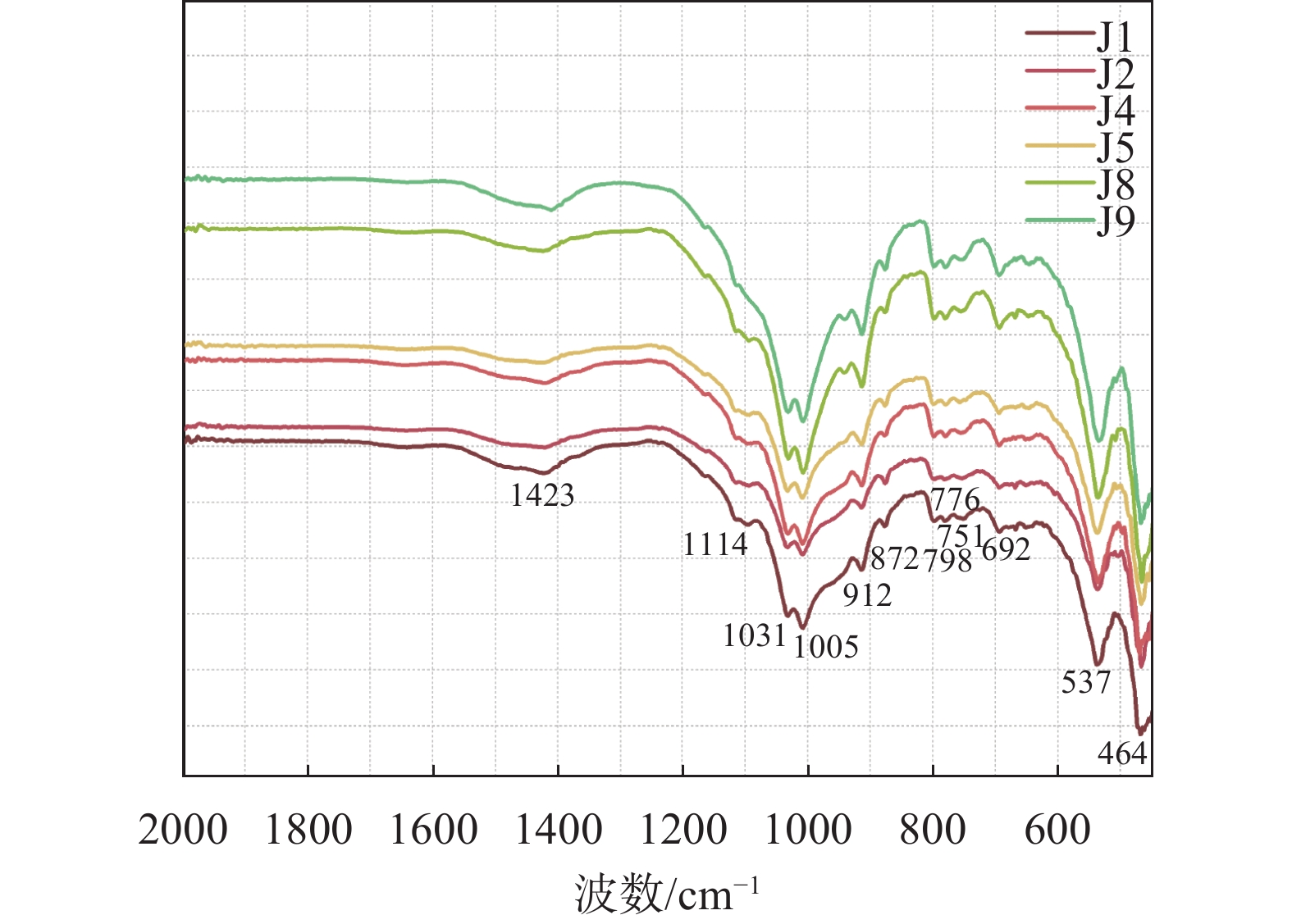
Properties of coal gangue grouting filling material modified by alkaline additives
Wang Jiale, Feng Bo, Wang Xuean, Zhou Yue
2025, 39(6): 930-938. doi: 10.20265/j.cnki.issn.1007-2993.2024-0355
Abstract:
According to the problems of geological damage and collapse caused by coal mining, using coal gangue as the main component of mining filling materials can not only achieve large-scale processing of coal gangue, but also achieve the green and efficient management of the goaf. Coal gangue is used as one of the main materials, and the grouting filling material based on coal gangue is prepared under the modification of alkaline additives. The filling performance was analyzed from viscosity, bleeding rate, stone rate, setting time, and mechanical properties of the material. And the microscopical properties of the material were analyzed by XRD, TG-DSC, FT-IR, and SEM. Results show that C-S-H gel and C-(N)-A-S-H gel were formed in the grouting filling material, which brings bonding properties. The increase of the activator can effectively promote the secondary hydration of coal gangue and increase the formation of gel products. The performance of the grouting filling material is good when the coal gangue content is 70%, the activator content is 30%, and the water-cement ratio is 0.7. But the material is not conducive to long-distance pumping due to its high viscosity. The pumping performance of the slurry is good when the coal gangue content is 80%, the activator ratio is 20%, and the water-cement ratio is 1.0. The material has good slurry stability and mechanical properties, which can also reduce costs and achieve green and low-carbon effects.
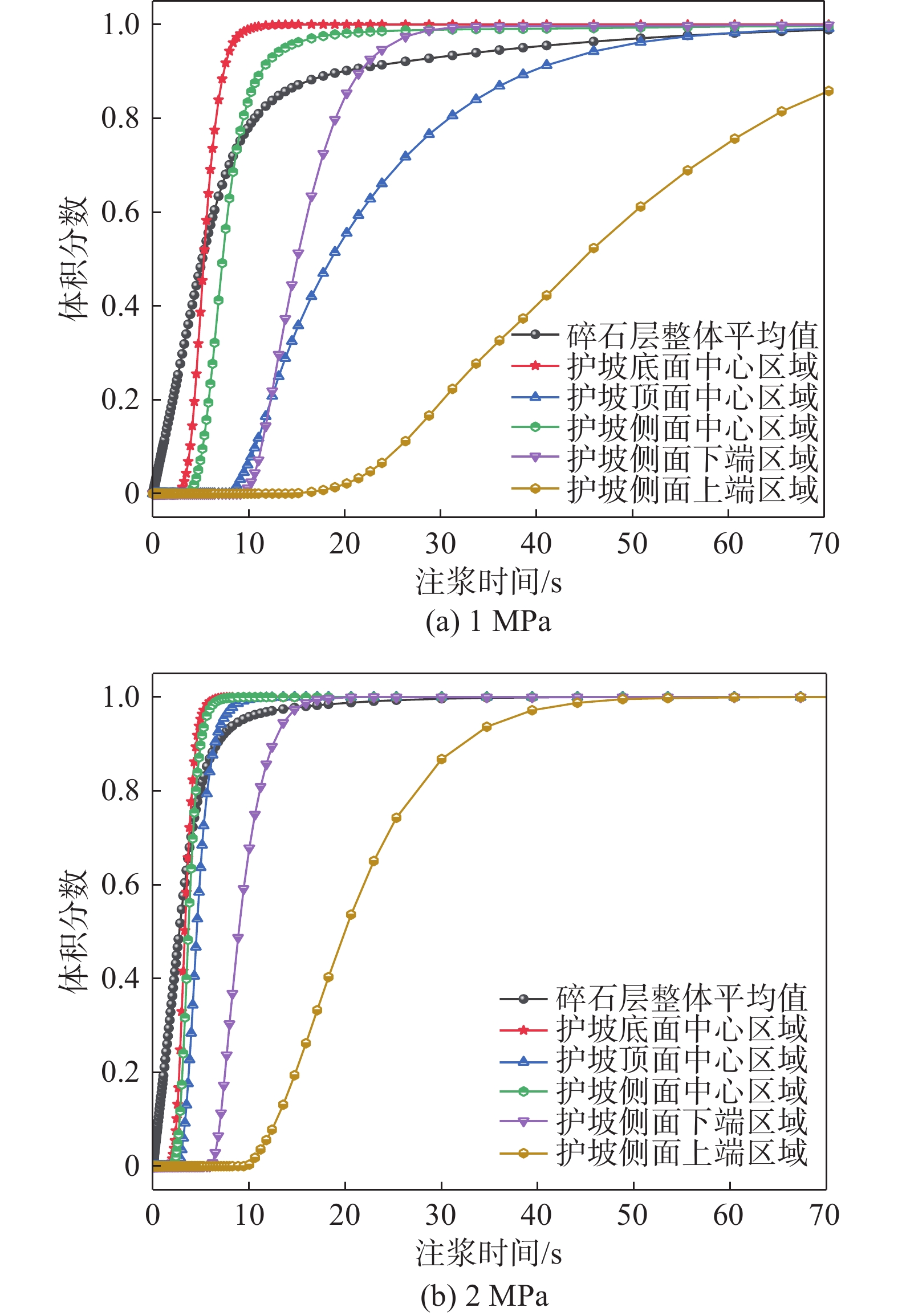
Model tests and numerical simulations of grouting diffusion law in hole for slope protection of the Qiantang River
Wei Xiaowang, Wang Zhongquan, Wang Xinzheng, Chen Yonghui
2025, 39(6): 939-945. doi: 10.20265/j.cnki.issn.1007-2993.2024-0529
Abstract:
Based on the Haitang Anlan project on the north bank of the Qiantang River, a replacement scheme of masonry was proposed to use high-strength cement mortar drilling and grouting to strengthen the structural blocks of the protective surface of the waterfront slope. Model tests and numerical simulations on the flow and diffusion law of cement mortar in the gravel layer under masonry slope protection were carried out. The influence of grouting pressure and grouting amount on the flow diffusion form of the slurry and the overall filling effect of cement mortar with different fluidity degrees was discussed. The results show that the overall diffusion direction and dominant diffusion channel of cement mortar with different fluidity degrees are the same, which are horizontal to symmetrical diffusion from the grouting port, and the grout preferentially flows to the lower end of the masonry slope protection, and then upward, but the diffusion and failure mode of the grout in the gravel layer will change due to different fluidity. Cement mortar with different fluidity also corresponds to the failure value of different grouting pressures and grouting amounts. In this model test condition, when the initial fluidity of the slurry is about 400 mm, the ultimate grouting pressure is 3 MPa, and the mass of the ultimate injected slurry is about 51 kg. When the grouting pressure is constant at 2 MPa, the effective volume filling rate of the weak area of the slurry flow can reach 83%, which is close to the filling effect of 85% of the pump grouting and meets the requirements of the specification.
General Table of Contents
2025, (6): 945-945.
Abstract: